Trong quá trình thiết kế, lắp đặt hệ thống điện cho công trình, dự án, các kỹ sư điện thường quan tâm đến thông số chiều dài cuộn dây điện. Vậy 1 cuộn dây điện bao nhiêu mét? Có con số tiêu chuẩn nào áp dụng cho tất cả nhà sản xuất hay không? Bạn hãy theo dõi bài viết sau của chúng tôi để tìm hiểu.
Phương pháp xác định 1 cuộn dây điện bao nhiêu mét

Có 2 phương pháp để biết chính xác 1 cuộn dây điện bao nhiêu mét.
Theo thông số của nhà sản xuất
Các nhà sản xuất thường in thông số chiều dài cuộn dây điện trên lớp vỏ cách điện hoặc nhãn mác. Bạn có thể xác định 1 cuộn dây điện bao nhiêu mét thông qua thông số nhà sản xuất cung cấp. Hoặc cũng có thể tra cứu qua bảng giá. Tại đây tập hợp khá đầy đủ các thông tin quan trọng liên quan đến dây cáp như: loại dây, kết cấu ruột dẫn, trọng lượng, chiều dài đóng gói…

Theo công thức tính chiều dài cuộn dây điện
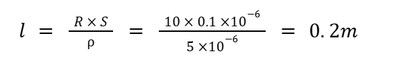
Nếu không có nhãn mác của loại dây cáp điện, bạn có thể áp dụng công thức tính điện trở:

để tính chiều dài cuộn dây như sau:

Trong đó:
- l: Chiều dài cuộn dây điện (m)
- R: Điện trở (Ω)
- S: Tiết diện của dây (m2)
- ρ: Điện trở suất của dây (Ωm)
- U: Hiệu điện thế (V)
- I: Cường độ dòng điện (A)
Ví dụ: Cần tính chiều dài cuộn dây điện có điện trở 10Ω, tiết diện 0.1mm2, điện trở suất của chất làm dây là 5.10-6Ωm.
Áp dụng công thức, chiều dài dây dẫn trong trường hợp này tính được:

Vì sao cần phải xác định 1 cuộn dây điện bao nhiêu mét?

Đảm bảo an toàn điện
- Hạn chế sụt áp đường dây: Dây điện càng dài, điện trở càng cao, dẫn đến độ sụt áp càng lớn khiến các thiết bị hoạt động chập chờn, tuổi thọ không còn đảm bảo. Việc tính toán chiều dài cuộn dây để lựa chọn tiết diện dây dẫn phù hợp sẽ hạn chế được tình trạng tổn thất điện áp.
- Giảm nguy cơ chập cháy: Các mối nối điện là nguyên nhân gây ra tình trạng chập mạch, hở mạch, tiềm ẩn các tai nạn điện. Sử dụng cuộn dây có chiều dài phù hợp sẽ giảm thiểu các mối nối trên đường dây, giúp dòng điện hoạt động ổn định và an toàn hơn.
Tăng tính thẩm mỹ
Cuộn dây có độ dài chuẩn giúp việc lắp đặt trở nên dễ dàng và nhanh chóng hơn, tránh được tình trạng mối nối dày đặc hay dây điện chằng chịt, gây mất thẩm mỹ cho các công trình.
Tiết kiệm chi phí
- Đối với hệ thống điện gia đình, xác định chiều dài cuộn dây điện giúp bạn mua đúng số lượng và kích thước dây dẫn, tránh mua nhiều gây lãng phí chi phí và vật tư, mua ít lại cần đấu nối thêm, không chỉ mất thời gian mà còn gia tăng nguy cơ tai nạn điện.
- Đối với các công trình lớn, tính toán chiều dài cuộn dây giúp các kỹ sư lập kế hoạch chi tiêu ngân sách hợp lý, quản lý vật tư cũng như kiểm soát được chi phí thi công một cách chi tiết.
1 cuộn dây điện bao nhiêu mét?
1 cuộn dây điện bao nhiêu mét là thắc mắc của nhiều người khi có ý định chọn mua dây điện cho công trình. Trên thị trường hiện nay, một số cuộn dây điện thông dụng có độ dài phổ biến đặc trưng như sau:
- Dây điện dân dụng: Đa phần các loại dây điện gia đình như dây đơn, dây đôi đều được đóng gói thành cuộn 100 mét. Đây là quy chuẩn có tính phổ thông nhất và được nhiều nhà sản xuất áp dụng. Tuy nhiên, bạn vẫn có thể mua độ dài dây điện theo mét tại các nhà phân phối chính hãng hoặc các cửa hàng bán lẻ.
- Dây cáp điện: Đối với loại dây cáp điện sử dụng trong môi trường công nghiệp hoặc các công trình lớn, chiều dài cuộn dây có thể thay đổi theo yêu cầu từ nhà thầu, ví dụ 50 mét, 100 mét, 300 mét, 1000 mét.
- Cáp đồng trục, cáp mạng: Các loại dây cáp chuyên dụng này thường được bán theo cuộn có độ dài tiêu chuẩn là 100 mét hoặc 305 mét.
Thực tế, độ dài của cuộn dây điện không có một con số cố định mà phụ thuộc vào nhiều yếu tố như: loại dây, tiết diện dây điện và thương hiệu.
Loại dây
Như đã liệt kê ở trên, ngoại trừ dây dân dụng đã được quy ước chiều dài phổ biến là 100 mét/cuộn do phù hợp với đặc trưng mạng điện nhà ở ở Việt Nam, hầu hết các loại dây cáp điện khác đều không có 1 con số cố định để xác định chiều dài cuộn dây.
Đặc điểm lõi dẫn
- Tiết diện lõi: Tiết diện lõi dẫn thường tỉ lệ nghịch với chiều dài cuộn dây điện. Dây có tiết diện càng lớn thì cuộn dây càng ngắn. Ví dụ: dây điện 1.5mm2 hoặc 2.5mm2 thường được đóng gói theo quy cách 100 mét/cuộn nhưng loại dây 50mm2, 70mm2 sẽ được đóng trong cuộn 50 mét hoặc ngắn hơn. Điều này thuận tiện cho quá trình vận chuyển và thi công.
- Số lõi dẫn: Dây đa lõi sẽ có trọng lượng lớn hơn dây đơn lõi cùng tiết diện, tương ứng, chiều dài cuộn dây thường sẽ ngắn hơn.
Quy cách đóng gói của nhà sản xuất
- Quy chuẩn của nhà sản xuất: Mỗi nhà sản xuất sẽ có quy chuẩn đóng gói riêng đối với dây cáp điện các loại, dựa trên các tiêu chuẩn quốc tế hoặc tiêu chuẩn quốc gia. Tại Việt Nam, dây dân dụng có chiều dài tiêu chuẩn là 100 mét. Trong khi đó, các loại dây cáp khác sẽ có chiều dài cuộn dây theo quy chuẩn của từng thương hiệu.
- Loại cuộn: Có nhiều loại cuộn khác nhau để đóng gói dây cáp điện sau quá trình sản xuất như cuộn tròn nhỏ, rulo gỗ, tang cáp lớn. Kích thước, sức chứa của các cuộn này cũng quyết định độ dài tối đa của dây cáp.

Chiều dài 1 cuộn dây điện theo các thương hiệu
Cadisun và Cadivi hiện là 2 thương hiệu dây cáp điện có tính phổ biến nhất trên thị trường. Với hệ thống phân phối trải dài từ Bắc vào Nam, bạn có thể dễ dàng chọn mua sản phẩm của 2 thương hiệu này tại bất kỳ nhà phân phối uy tín nào.
Cadisun

Tùy thuộc vào loại dây và quy cách đóng gói, dây cáp điện của Cadisun sẽ có chiều dài 1 cuộn dây khác nhau nhưng phổ biến nhất vẫn là 100 mét/cuộn. Cụ thể:
- Cáp đồng đơn bọc CV cách điện PVC: Chiều dài linh hoạt từ 100m/cuộn hoặc 500m/lô, 200m/lô.
- Cáp đồng treo CVV bọc cách điện PVC: Dải chiều dài từ 250 - 2000m.
- Cáp đồng treo CXV bọc cách điện XLPE: Có loại 500 - 3000m/lô, 200 - 2000m/cuộn.
- Cáp đồng ngầm 1 lõi: 200-500m/cuộn, 1000-2000m/lô.
- Cáp đồng ngầm nhiều lõi: 500 - 2000m.
Theo dõi 1 cuộn dây điện bao nhiêu mét của Cadisun tại Bảng giá dây cáp điện Cadisun mới nhất.
Cadivi
Một cuộn dây điện của Cadivi thường được đóng gói với chiều dài 100m. Đây là tiêu chuẩn chung cho đa phần các loại dây cáp điện do Cadivi sản xuất, không quan trọng tiết diện lõi dẫn là bao nhiêu.

Đáng nói, dây cáp điện Cadivi có thể được bán lẻ theo mét - tùy vào nhu cầu của khách hàng nên về cơ bản, 100 mét là chiều dài phổ biến nhất của 1 cuộn dây điện Cadivi, bao gồm các loại dây điện có tiết diện như sau:
| Loại dây điện | Trọng lượng | Mét (m) |
| Dây điện Cadivi 1.5 | 2.06kg | 100 mét |
| Dây điện Cadivi 2.5 | 3.2kg | 100 mét |
| Dây điện Cadivi 4.0 | 4.7kg | 100 mét |
| Dây điện Cadivi 6.0 | 6.7kg | 100 mét |
| Dây điện Cadivi 10.0 | 11.2kg | 100 mét |
| Dây điện Cadivi 16.0 | 17kg | 100 mét |
| Dây điện Cadivi 25.0 | 26.6kg | 100 mét |
| Dây điện Cadivi 35.0 | 36kg | 100 mét |
| Dây điện Cadivi 50.0 | 48.8kg | 100 mét |
| Dây điện Cadivi 70.0 | 68.2kg | 100 mét |
| Dây điện Cadivi 95 | 94.4kg | 100 mét |
| Dây điện Cadivi 120 | 117.6kg | 100 mét |
| Dây điện Cadivi 150 | 145.4kg | 100 mét |
| Dây điện Cadivi 185 | 181.2kg | 100 mét |
| Dây điện Cadivi 240 | 237kg | 100 mét |
| Dây điện Cadivi 300 | 297kg | 100 mét |
| Dây điện Cadivi 400 | 378kg | 100 mét |
Quý khách hàng có nhu cầu mua dây cáp điện Cadivi theo mét có thể theo dõi Bảng giá dây cáp điện Cadivi mới nhất hoặc gọi ngay 0904 99 88 77 để được nhân viên kinh doanh của Etinco báo giá và hệ số chiết khấu phù hợp.
Câu hỏi về 1 cuộn dây điện bao nhiêu mét?
Câu hỏi 1: 1 cuộn dây điện Trần Phú bao nhiêu mét?
Trả lời: Chiều dài của dây cáp điện Trần Phú phụ thuộc vào tiết diện ruột dẫn, ví dụ: các loại dây có tiết diện nhỏ như 0.7mm2, 1mm2, 1.5mm2 thường được đóng gói 200m/cuộn. Dây có tiết diện lớn hơn: 2.5mm2, 4mm2 có thể được đóng 100m/cuộn.
Câu hỏi 2: Có thể mua cáp điện theo mét không?
Trả lời: Có. Các nhà phân phối thường sẽ bán dây cáp điện theo cuộn, theo lô cho các chủ đầu tư, nhà thầu. Nhưng bạn vẫn có thể mua dây điện theo mét tùy thuộc vào nhu cầu cụ thể.