Dây cáp điện Trần Phú ở đâu giá rẻ chiết khấu cao?
Bạn đang tìm đại lý nhà phân phối dây cáp điện Trần Phú? Bạn không biết đơn vị nào bán Trần Phú giá rẻ chiết khấu tốt? Bạn không biết đâu là đại lý Trần Phú chính hãng, uy tín?. Gọi ngay 0939.66.44.22 để nhận ngay Sự Khác Biệt về GIÁ mà không đơn vị nào có được.
Etinco là đại lý cấp 1 của nhà máy cáp điện Trần Phú ,đơn vị Duy Nhất là tổng kho phân phối và cung cấp dây cáp điện Trần Phú tại Việt Nam.Gọi ngay 0939.66.44.22 để nhận báo giá mới nhất từ Công Ty Cổ Phần Cơ Điện Trần Phú. Bạn sẽ nhận được ngay đơn giá Chiết Khấu Cao Nhất Thị trường.(Gọi điện trực tiếp luôn có chiết khấu tốt hơn)
Tại sao Etinco là nhà phân phối số 1 về dây cáp Trần Phú?
Bạn muốn báo giá dây cáp Trần Phú mới nhất và giá tốt nhất.Chỉ cần gửi thông tin sản phẩm số lượng qua Email: kd@etinco.vn. Chúng tôi sẽ gửi báo giá sau 3 phút .Hoặc gọi ngay cho chúng tôi 0939 66 44 22. Để được báo giá tốt nhất Việt Nam..
Bảng giá dây điện Trần Phú
Dây điện dân dụng Trần Phú được làm từ 99.99% đồng nguyên chất, có ưu thế dẫn điện tốt, vỏ bọc nhựa PVC/XLPE cách điện. Nó có thể lắp đặt dễ dàng trong những ống cố đinh (ống cứng và chịu được lực, được chôn trong đất, trên sàn nhà, trần hoặc trong tường).



Dây điện đơn - CU/PVC (Ruột đồng cách điện PVC), mầu dây (đỏ, xanh, vang, đen, tiếp địa).
Dây điện dẹp - Cu/PVC/PVC (Ruột đồng, cách điện PVC, Vỏ PVC).
Dây xúp - Cu/PVC (Ruột đồng, cách điện PVC).
Dây điện trong (2,3,4) Ruột mền - Cu/PVC (Ruột đồng, Cách điện PVC, vỏ PVC).
Dây điện dính cách Cu/PVC/PVC (Ruột đồng, cách điện PVC, Vỏ PVC).
| Stt | Tên sản phẩm | Số sợi | ĐK sợi | Đvt | Đơn giá VNĐ/m |
DÂY ĐƠN - Cu/PVC |
|||||
| Ruột đồng, cách điện PVC. Màu dây: đỏ, xanh, vàng, tiếp địa | |||||
| 1 | Dây đơn VCm 1x0,75 | 24 | 0,2 | m | |
| 2 | Dây đơn VCm 1x1,0 | 32 | 0,2 | m | |
| 3 | Dây đơn VCm 1x1,5 | 30 | 0,25 | m | |
| 4 | Dây đơn VCm 1x2,5 | 50 | 0,25 | m | |
| 5 | Dây đơn VCm 1x4,0 | 80 | 0,25 | m | |
| 6 | Dây đơn VCm 1x6,0 | 120 | 0,25 | m | |
| 7 | Dây đơn VCm 1x10 | 200 | 0,25 | m | |
DÂY BỌC DẸT - Cu/PVC/PVC |
|||||
| Ruột đồng, cách điện PVC, vỏ bọc PVC | |||||
| 8 | Dây dẹt VCm-D 2x0,75 | 24 | 0,2 | m | |
| 9 | Dây dẹt VCm-D 2x1,0 | 32 | 0,2 | m | |
| 10 | Dây dẹt VCm-D 2x1,5 | 30 | 0,25 | m | |
| 11 | Dây dẹt VCm-D 2x2,5 | 50 | 0,25 | m | |
| 12 | Dây dẹt VCm-D 2x4,0 | 80 | 0,25 | m | |
| 13 | Dây dẹt VCm-D 2x6,0 | 120 | 0,25 | m | |
| 14 | Dây dẹt VCm-D 3x0,75 | 24 | 0,2 | m | |
DÂY TRÒN - Cu/PVC/PVC |
|||||
| Ruột đồng, cách điện PVC, vỏ bọc PVC | |||||
| 15 | Dây tròn VCm-T 3x0,75 | 24 | 0,2 | m | |
| 16 | Dây tròn VCm-T 3x1,0 | 32 | 0,2 | m | |
| 17 | Dây tròn VCm-T 3x1,5 | 30 | 0,25 | m | |
| 18 | Dây tròn VCm-T 3x2,5 | 50 | 0,25 | m | |
| 19 | Dây tròn VCm-T 3x4,0 | 80 | 0,25 | m | |
| 20 | Dây tròn VCm-T 3x6,0 | 120 | 0,25 | m | |
| 21 | Dây tròn VCm-T 4x0,75 | 24 | 0,2 | m | |
| 22 | Dây tròn VCm-T 4x1,0 | 32 | 0,2 | m | |
| 23 | Dây tròn VCm-T 4x1,5 | 30 | 0,25 | m | |
| 24 | Dây tròn VCm-T 4x2,5 | 50 | 0,25 | m | |
| 25 | Dây tròn VCm-T 4x4,0 | 80 | 0,25 | m | |
| 26 | Dây tròn VCm-T 4x6,0 | 120 | 0,25 | m | |
DÂY DÍNH CÁCH - Cu/PVC/PVC |
|||||
| Ruột đồng, cách điện PVC, vỏ bọc PVC | |||||
| 17 | Dây dính cách VCm-DK 2x1,5 | 30 | 0,25 | m | |
| 28 | Dây dính cách VCm-DK 2x2,5 | 50 | 0,25 | m | |
| 29 | Dây dính cách VCm-DK 2x4,0 | 80 | 0,25 | m | |
DÂY XÚP - Cu/PVC |
|||||
| Ruột đồng, cách điện PVC | |||||
| 30 | Dây xúp VCm-X 2x0,75 | 24 | 0,2 | m | |
Bảng giá dưới đây chỉ mang tính chất tham khảo.Vui lòng gọi điện 0939 66 44 22 hoặc gửi yêu cầu báo giá qua email: kd@etinco.vn.Để nhận giá tốt hơn,Cam Kết Giá rẻ Nhất Việt Nam.
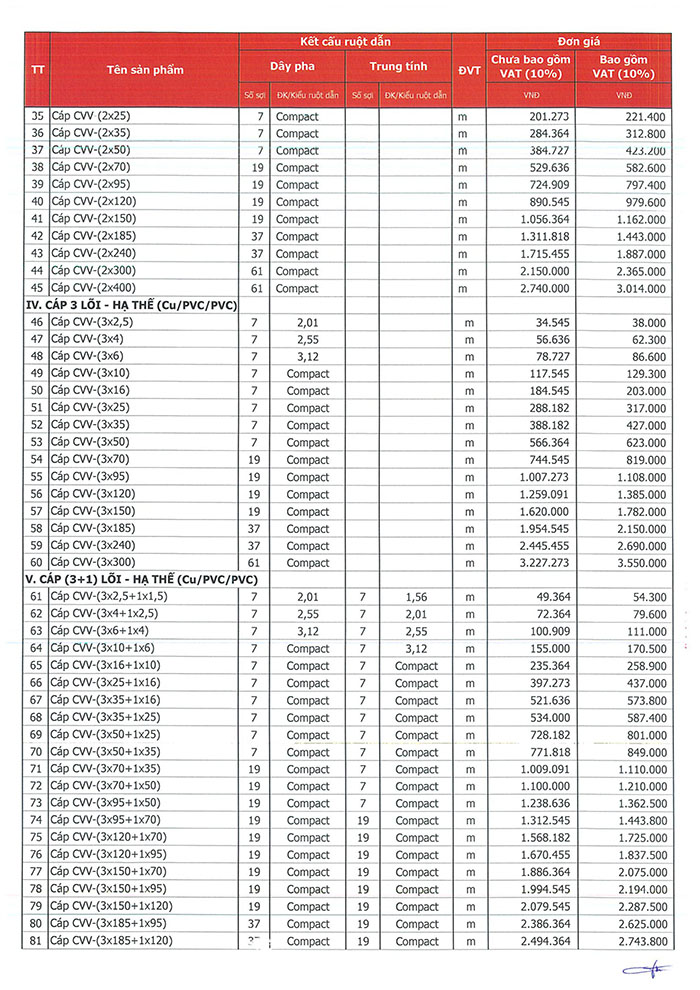
Bảng báo giá cáp điện Trần Phú








Cáp đơn - Hạ thế (Cu/PVC) Ruột đồng, cách điện PVC.
CÁP ĐƠN - HẠ THẾ (Cu/PVC) |
||||
| Stt | Tên sản phẩm | Số sợi | Đvt | Đơn giá |
| 1 | Cáp CV - 10 | 7 | m | |
| 2 | Cáp CV - 16 | 7 | m | |
| 3 | Cáp CV - 25 | 7 | m | |
| 4 | Cáp CV - 35 | 7 | m | |
| 5 | Cáp CV - 50 | 7 | m | |
| 6 | Cáp CV - 70 | 19 | m | |
| 7 | Cáp CV - 95 | 19 | m | |
| 8 | Cáp CV - 120 | 19 | m | |
| 9 | Cáp CV - 150 | 19 | m | |
| 10 | Cáp CV - 185 | 37 | m | |
| 11 | Cáp CV - 240 | 37 | m | |
| 12 | Cáp CV - 300 | 61 | m | |
| 13 | Cáp CV - 400 | 61 | m | |
Cáp 1,2,3,4 lõi - Hạ thế (Cu/PVC/PVC) Ruột đồng, cách điện PVC, vỏ PVC.
CÁP 1 LÕI - HẠ THẾ (Cu/PVC/PVC) |
||||
| Stt | Tên sản phẩm | Số sợi | Đvt | Đơn giá |
| 14 | Cáp CVV - (1 x 2,5) | 7 | m | |
| 15 | Cáp CVV - (1 x 4) | 7 | m | |
| 16 | Cáp CVV - (1 x 6) | 7 | m | |
| 17 | Cáp CVV - (1 x 10) | 7 | m | |
| 18 | Cáp CVV - (1 x 16) | 7 | m | |
| 19 | Cáp CVV - (1 x 25) | 7 | m | |
| 20 | Cáp CVV - (1 x 35) | 7 | m | |
| 21 | Cáp CVV - (1 x 50) | 7 | m | |
| 22 | Cáp CVV - (1 x 70) | 19 | m | |
| 23 | Cáp CVV - (1 x 95) | 19 | m | |
| 24 | Cáp CVV - (1 x 120) | 19 | m | |
| 25 | Cáp CVV - (1 x 150) | 19 | m | |
| 26 | Cáp CVV - (1 x 185) | 37 | m | |
| 27 | Cáp CVV - (1 x 240) | 37 | m | |
| 28 | Cáp CVV - (1 x 300) | 61 | m | |
| 29 | Cáp CVV - (1 x 400) | 61 | m | |
Cáp 2 lõi - Hạ thế (Cu/PVC/PVC) Ruột đồng, cách điện PVC, vỏ PVC.
CÁP 2 LÕI - HẠ THẾ (Cu/PVC/PVC) |
||||
| Stt | Tên sản phẩm | Số sợi | Đvt | Đơn giá |
| 30 | Cáp CVV - (2 x 4) | 7 | m | |
| 31 | Cáp CVV - (2 x 6) | 7 | m | |
| 32 | Cáp CVV - (2 x 10) | 7 | m | |
| 33 | Cáp CVV - (2 x 16) | 7 | m | |
| 34 | Cáp CVV - (2 x 25) | 7 | m | |
| 35 | Cáp CVV - (2 x 35) | 7 | m | |
| 36 | Cáp CVV - (2 x 50) | 7 | m | |
| 37 | Cáp CVV - (2 x 70) | 19 | m | |
| 38 | Cáp CVV - (2 x 95) | 19 | m | |
| 39 | Cáp CVV - (2 x 120) | 19 | m | |
| 40 | Cáp CVV - (2 x 150) | 19 | m | |
| 41 | Cáp CVV - (2 x 185) | 37 | m | |
| 42 | Cáp CVV - (2 x 240) | 37 | m | |
| 43 | Cáp CVV - (2 x 300) | 61 | m | |
| 44 | Cáp CVV - (2 x 400) | 61 | m | |
Cáp 3 lõi - Hạ thế (Cu/PVC/PVC) Ruột đồng, cách điện PVC, vỏ PVC.
CÁP 3 LÕI - HẠ THẾ (Cu/PVC/PVC) |
||||
| Stt | Tên sản phẩm | Số sợi | Đvt | Đơn giá |
| 45 | Cáp CVV - (3 x 4) | 7 | m | |
| 46 | Cáp CVV - (3 x 6) | 7 | m | |
| 47 | Cáp CVV - (3 x 10) | 7 | m | |
| 48 | Cáp CVV - (3 x 16) | 7 | m | |
| 49 | Cáp CVV - (3 x 25) | 7 | m | |
| 50 | Cáp CVV - (3 x 35) | 7 | m | |
| 51 | Cáp CVV - (3 x 50) | 7 | m | |
| 52 | Cáp CVV - (3 x 70) | 19 | m | |
| 53 | Cáp CVV - (3 x 95) | 19 | m | |
| 54 | Cáp CVV - (3 x 120) | 19 | m | |
Cáp 3+1 lõi - Hạ thế (Cu/PVC/PVC) Ruột đồng, cách điện PVC, vỏ PVC.
CÁP (3 + 1) LÕI - HẠ THẾ (Cu/PVC/PVC) |
|||||
| Stt | Tên sản phẩm | Số sợi | Đvt | Đơn giá | |
| Dây pha | Trung tính | VNĐ/m | |||
| 55 | Cáp CVV - (3 x 2,5 + 1 x 1,5) | 7 | 7 | m | |
| 56 | Cáp CVV - (3 x 4 + 1 x 2,5) | 7 | 7 | m | |
| 57 | Cáp CVV - (3 x 6 + 1 x 4) | 7 | 7 | m | |
| 58 | Cáp CVV - (3 x 10 + 1 x 6) | 7 | 7 | m | |
| 59 | Cáp CVV - (3 x 16 + 1 x 10) | 7 | 7 | m | |
| 60 | Cáp CVV - (3 x 25 + 1 x 16) | 7 | 7 | m | |
| 61 | Cáp CVV - (3 x 35 + 1 x 16) | 7 | 7 | m | |
| 62 | Cáp CVV - (3 x 35 + 1 x 25) | 7 | 7 | m | |
| 63 | Cáp CVV - (3 x 50 + 1 x 25) | 7 | 7 | m | |
| 64 | Cáp CVV - (3 x 50 + 1 x 35) | 7 | 7 | m | |
| 65 | Cáp CVV - (3 x 70 + 1 x 35) | 19 | 7 | m | |
| 66 | Cáp CVV - (3 x 70 + 1 x 50) | 19 | 7 | m | |
| 67 | Cáp CVV - (3 x 95 + 1 x 50) | 19 | 7 | m | |
| 68 | Cáp CVV - (3 x 95 + 1 x 70) | 19 | 19 | m | |
| 69 | Cáp CVV - (3 x 120 + 1 x 70) | 19 | 19 | m | |
| 70 | Cáp CVV - (3 x 120 + 1 x 95) | 19 | 19 | m | |
| 71 | Cáp CVV - (3 x 150 + 1 x 70) | 19 | 19 | m | |
| 72 | Cáp CVV - (3 x 150 + 1 x 95) | 19 | 19 | m | |
| 73 | Cáp CVV - (3 x 150 + 1 x 120) | 19 | 19 | m | |
| 74 | Cáp CVV - (3 x 185 + 1 x 95) | 37 | 19 | m | |
| 75 | Cáp CVV - (3 x 185 + 1 x 120) | 37 | 19 | m | |
| 76 | Cáp CVV - (3 x 185 + 1 x 150) | 37 | 19 | m | |
| 77 | Cáp CVV - (3 x 240 + 1 x 120) | 37 | 19 | m | |
| 78 | Cáp CVV - (3 x 240 + 1 x 150) | 37 | 19 | m | |
| 79 | Cáp CVV - (3 x 240 + 1 x 185) | 37 | 37 | m | |
| 80 | Cáp CVV - (3 x 300 + 1 x 150) | 61 | 19 | m | |
| 81 | Cáp CVV - (3 x 300 + 1 x 185) | 61 | 37 | m | |
| 82 | Cáp CVV - (3 x 300 + 1 x 240) | 61 | 37 | m | |
Cáp 4 lõi - Hạ thế (Cu/PVC/PVC) Ruột đồng, cách điện PVC, vỏ PVC.
CÁP 4 LÕI - HẠ THẾ (Cu/PVC/PVC) |
||||
| Stt | Tên sản phẩm | Số sợi | Đvt | Đơn giá |
| 83 | Cáp CVV - (4 x 4) | 7 | m | |
| 84 | Cáp CVV - (4 x 6) | 7 | m | |
| 85 | Cáp CVV - (4 x 10) | 7 | m | |
| 86 | Cáp CVV - (4 x 16) | 7 | m | |
| 87 | Cáp CVV - (4 x 25) | 7 | m | |
| 88 | Cáp CVV - (4 x 35) | 7 | m | |
| 89 | Cáp CVV - (4 x 50) | 7 | m | |
| 90 | Cáp CVV - (4 x 70) | 19 | m | |
| 91 | Cáp CVV - (4 x 95) | 19 | m | |
| 92 | Cáp CVV - (4 x 120) | 19 | m | |
| 93 | Cáp CVV - (4 x 150) | 19 | m | |
| 94 | Cáp CVV - (4 x 185) | 37 | m | |
| 95 | Cáp CVV - (4 x 240) | 37 | m | |
| 96 | Cáp CVV - (4 x 300) | 61 | m | |
Cáp 1 lõi - Hạ thế (Cu/XLPE/PVC) Ruột đồng, cách điện XLPE, vỏ PVC.
CÁP 1 LÕI - HẠ THẾ (Cu/XLPE/PVC) |
|||||
| Stt | Tên sản phẩm | Số sợi | Đvt | Đơn giá | |
| 97 | Cáp CXV - (1 x 1,5) | 7 | m | ||
| 98 | Cáp CXV - (1 x 2,5) | 7 | m | ||
| 99 | Cáp CXV - (1 x 4) | 7 | m | ||
| 100 | Cáp CXV - (1 x 6) | 7 | m | ||
| 101 | Cáp CXV - (1 x 10) | 7 | m | ||
| 102 | Cáp CXV - (1 x 16) | 7 | m | ||
| 103 | Cáp CXV - (1 x 25) | 7 | m | ||
| 104 | Cáp CXV - (1 x 35) | 7 | m | ||
| 105 | Cáp CXV - (1 x 50) | 7 | m | ||
| 106 | Cáp CXV - (1 x 70) | 19 | m | ||
| 107 | Cáp CXV - (1 x 95) | 19 | m | ||
| 108 | Cáp CXV - (1 x 120) | 19 | m | ||
| 109 | Cáp CXV - (1 x 150) | 19 | m | ||
| 110 | Cáp CXV - (1 x 185) | 37 | m | ||
| 111 | Cáp CXV - (1 x 240) | 37 | m | ||
| 112 | Cáp CXV - (1 x 300) | 61 | m | ||
| 113 | Cáp CXV - (1 x 400) | 61 | m | ||
Cáp 2 lõi - Hạ thế (Cu/XLPE/PVC) Ruột đồng, cách điện XLPE, vỏ PVC.
CÁP 2 LÕI - HẠ THẾ (Cu/XLPE/PVC) |
||||
| Stt | Tên sản phẩm | Số sợi | Đvt | Đơn giá |
| 114 | Cáp CXV - (2 x 1,5) | 7 | m | |
| 115 | Cáp CXV - (2 x 2,5) | 7 | m | |
| 116 | Cáp CXV - (2 x 4) | 7 | m | |
| 117 | Cáp CXV - (2 x 6) | 7 | m | |
| 118 | Cáp CXV - (2 x 10) | 7 | m | |
| 119 | Cáp CXV - (2 x 16) | 7 | m | |
| 120 | Cáp CXV - (2 x 25) | 7 | m | |
| 121 | Cáp CXV - (2 x 35) | 7 | m | |
| 122 | Cáp CXV - (2 x 50) | 7 | m | |
| 123 | Cáp CXV - (2 x 70) | 19 | m | |
| 124 | Cáp CXV - (2 x 95) | 19 | m | |
| 125 | Cáp CXV - (2 x 120) | 19 | m | |
| 126 | Cáp CXV - (2 x 150) | 19 | m | |
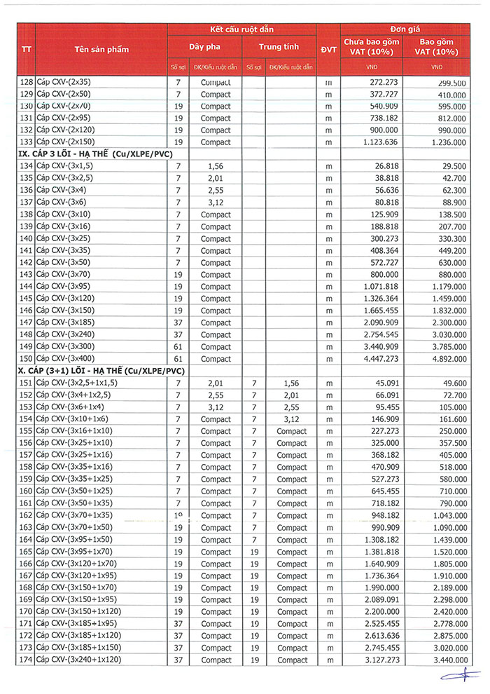
Cáp 3 lõi - Hạ thế (Cu/XLPE/PVC) Ruột đồng, cách điện XLPE, vỏ PVC.
CÁP 3 LÕI - HẠ THẾ (Cu/XLPE/PVC) |
||||
| Stt | Tên sản phẩm | Số sợi | Đvt | Đơn giá |
| 127 | Cáp CXV - (3 x 1,5) | 7 | m | |
| 128 | Cáp CXV - (3 x 2,5) | 7 | m | |
| 129 | Cáp CXV - (3 x 4) | 7 | m | |
| 130 | Cáp CXV - (3 x 6) | 7 | m | |
| 131 | Cáp CXV - (3 x 10) | 7 | m | |
| 132 | Cáp CXV - (3 x 16) | 7 | m | |
| 133 | Cáp CXV - (3 x 25) | 7 | m | |
| 134 | Cáp CXV - (3 x 35) | 7 | m | |
| 135 | Cáp CXV - (3 x 50) | 7 | m | |
| 136 | Cáp CXV - (3 x 70) | 19 | m | |
| 137 | Cáp CXV - (3 x 95) | 19 | m | |
| 138 | Cáp CXV - (3 x 120) | 19 | m | |
| 139 | Cáp CXV - (3 x 150) | 19 | m | |
| 140 | Cáp CXV - (3 x 185) | 37 | m | |
| 141 | Cáp CXV - (3 x 240) | 37 | m | |
| 142 | Cáp CXV - (3 x 300) | 61 | m | |
| 143 | Cáp CXV - (3 x 400) | 61 | m | |
Cáp 3+1 lõi - Hạ thế (Cu/XLPE/PVC) Ruột đồng, cách điện XLPE, vỏ PVC.
CÁP (3 + 1) LÕI - HẠ THẾ (Cu/XLPE/PVC) |
|||||
| Stt | Tên sản phẩm | Số sợi | Đvt | Đơn giá | |
| Dây pha | Trung tính | VNĐ/m | |||
| 144 | Cáp CXV - (3 x 2,5 + 1 x 1,5) | 7 | 7 | m | |
| 145 | Cáp CXV - (3 x 4 + 1 x 2,5) | 7 | 7 | m | |
| 146 | Cáp CXV - (3 x 6 + 1 x 4) | 7 | 7 | m | |
| 147 | Cáp CXV - (3 x 10 + 1 x 6) | 7 | 7 | m | |
| 148 | Cáp CXV - (3 x 16 + 1 x 10) | 7 | 7 | m | |
| 149 | Cáp CXV - (3 x 25 + 1 x 10) | 7 | 7 | m | |
| 150 | Cáp CXV - (3 x 25 + 1 x 16) | 7 | 7 | m | |
| 151 | Cáp CXV - (3 x 35 + 1 x 16) | 7 | 7 | m | |
| 152 | Cáp CXV - (3 x 35 + 1 x 25) | 7 | 7 | m | |
| 153 | Cáp CXV - (3 x 50 + 1 x 25) | 7 | 7 | m | |
| 154 | Cáp CXV - (3 x 50 + 1 x 35) | 7 | 7 | m | |
| 155 | Cáp CXV - (3 x 70 + 1 x 35) | 19 | 7 | m | |
| 156 | Cáp CXV - (3 x 70 + 1 x 50) | 19 | 7 | m | |
| 157 | Cáp CXV - (3 x 95 + 1 x 50) | 19 | 7 | m | |
| 158 | Cáp CXV - (3 x 95 + 1 x 70) | 19 | 19 | m | |
| 159 | Cáp CXV - (3 x 120 + 1 x 70) | 19 | 19 | m | |
| 160 | Cáp CXV - (3 x 120 + 1 x 95) | 19 | 19 | m | |
| 161 | Cáp CXV - (3 x 150 + 1 x 70) | 19 | 19 | m | |
| 162 | Cáp CXV - (3 x 150 + 1 x 95) | 19 | 19 | m | |
| 163 | Cáp CXV - (3 x 150 + 1 x 120) | 19 | 19 | m | |
| 164 | Cáp CXV - (3 x 185 + 1 x 95) | 37 | 19 | m | |
| 165 | Cáp CXV - (3 x 185 + 1 x 120) | 37 | 19 | m | |
| 166 | Cáp CXV - (3 x 185 + 1 x 150) | 37 | 19 | m | |
| 167 | Cáp CXV - (3 x 240 + 1 x 120) | 37 | 19 | m | |
| 168 | Cáp CXV - (3 x 240 + 1 x 150) | 37 | 19 | m | |
| 169 | Cáp CXV - (3 x 240 + 1 x 185) | 37 | 37 | m | |
| 170 | Cáp CXV - (3 x 300 + 1 x 150) | 61 | 19 | m | |
| 171 | Cáp CXV - (3 x 300 + 1 x 185) | 61 | 37 | m | |
| 172 | Cáp CXV - (3 x 300 + 1 x 240) | 61 | 37 | m | |
Cáp 4 lõi - Hạ thế (Cu/XLPE/PVC) Ruột đồng, cách điện XLPE, vỏ PVC.
CÁP 4 LÕI - HẠ THẾ (Cu/XLPE/PVC) |
||||
| Stt | Tên sản phẩm | Số sợi | Đvt | Đơn giá |
| 173 | Cáp CXV - (4 x 1,5) | 7 | m | |
| 174 | Cáp CXV - (4 x 2,5) | 7 | m | |
| 175 | Cáp CXV - (4 x 4) | 7 | m | |
| 176 | Cáp CXV - (4 x 6) | 7 | m | |
| 177 | Cáp CXV - (4 x 10) | 7 | m | |
| 178 | Cáp CXV - (4 x 16) | 7 | m | |
| 179 | Cáp CXV - (4 x 25) | 7 | m | |
| 180 | Cáp CXV - (4 x 35) | 7 | m | |
| 181 | Cáp CXV - (4 x 50) | 7 | m | |
| 182 | Cáp CXV - (4 x 70) | 19 | m | |
| 183 | Cáp CXV - (4 x 95) | 19 | m | |
| 184 | Cáp CXV - (4 x 120) | 19 | m | |
| 185 | Cáp CXV - (4 x 150) | 19 | m | |
| 186 | Cáp CXV - (4 x 185) | 37 | m | |
| 187 | Cáp CXV - (4 x 240) | 37 | m | |
| 188 | Cáp CXV - (4 x 300) | 61 | m | |
| 189 | Cáp CXV - (4 x 400) | 61 | m | |
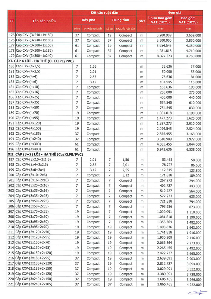
Cáp 3+2 lõi - Hạ thế (Cu/XLPE/PVC) Ruột đồng, cách điện XLPE, vỏ PVC.
CÁP (3 + 2) LÕI - HẠ THẾ (Cu/XLPE/PVC) |
|||||
| Stt | Tên sản phẩm | Số sợi | Đvt | Đơn giá | |
| Dây pha | Trung tính | VNĐ/m | |||
| 190 | Cáp CXV - (3 x 2,5 + 2 x 1,5) | 7 | 7 | m | |
| 191 | Cáp CXV - (3 x 4 + 2 x 2,5) | 7 | 7 | m | |
| 192 | Cáp CXV - (3 x 6 + 2 x 4) | 7 | 7 | m | |
| 193 | Cáp CXV - (3 x 10 + 2 x 6) | 7 | 7 | m | |
| 194 | Cáp CXV - (3 x 16 + 2 x 10) | 7 | 7 | m | |
| 195 | Cáp CXV - (3 x 25 + 2 x 16) | 7 | 7 | m | |
| 196 | Cáp CXV - (3 x 35 + 2 x 16) | 7 | 7 | m | |
| 197 | Cáp CXV - (3 x 35 + 2 x 25) | 7 | 7 | m | |
| 198 | Cáp CXV - (3 x 50 + 2 x 25) | 7 | 7 | m | |
| 199 | Cáp CXV - (3 x 50 + 2 x 35) | 7 | 7 | m | |
| 200 | Cáp CXV - (3 x 70 + 2 x 35) | 19 | 7 | m | |
| 201 | Cáp CXV - (3 x 70 + 2 x 50) | 19 | 7 | m | |
| 202 | Cáp CXV - (3 x 95 + 2 x 50) | 19 | 7 | m | |
| 203 | Cáp CXV - (3 x 95 + 2 x 70) | 19 | 19 | m | |
| 204 | Cáp CXV - (3 x 120 + 2 x 70) | 19 | 19 | m | |
| 205 | Cáp CXV - (3 x 120 + 2 x 95) | 19 | 19 | m | |
| 206 | Cáp CXV - (3 x 150 + 2 x 70) | 19 | 19 | m | |
| 207 | Cáp CXV - (3 x 150 + 2 x 95) | 19 | 19 | m | |
| 208 | Cáp CXV - (3 x 150 + 2 x 120) | 19 | 19 | m | |
| 209 | Cáp CXV - (3 x 185 + 2 x 95) | 37 | 19 | m | |
| 210 | Cáp CXV - (3 x 185 + 2 x 120) | 37 | 19 | m | |
| 211 | Cáp CXV - (3 x 185 + 2 x 150) | 37 | 19 | m | |
| 212 | Cáp CXV - (3 x 240 + 2 x 120) | 37 | 19 | m | |
| 213 | Cáp CXV - (3 x 240 + 2 x 150) | 37 | 19 | m | |
| 214 | Cáp CXV - (3 x 240 + 2 x 185) | 37 | 37 | m | |
| 215 | Cáp CXV - (3 x 300 + 2 x 150) | 61 | 19 | m | |
| 216 | Cáp CXV - (3 x 300 + 2 x 185) | 61 | 37 | m | |
| 217 | Cáp CXV - (3 x 300 + 2 x 240) | 61 | 37 | m | |
Cáp ngầm 1 lõi hạ thế trần phú (Cu/XLPE/PVC/DATA/PVC) Ruột đồng, cách điện XLPE, giáp DATA, vỏ PVC.
CÁP NGẦM 1 LÕI - HẠ THẾ (Cu/XLPE/PVC/DATA/PVC ) |
||||
| Stt | Tên sản phẩm | Số sợi | Đvt | Đơn giá |
| 218 | Cáp CXV/DATA - (1 x 10) | 7 | m | |
| 219 | Cáp CXV/DATA - (1 x 16) | 7 | m | |
| 220 | Cáp CXV/DATA - (1 x 25) | 7 | m | |
| 221 | Cáp CXV/DATA - (1 x 35) | 7 | m | |
| 222 | Cáp CXV/DATA - (1 x 50) | 7 | m | |
| 223 | Cáp CXV/DATA - (1 x 70) | 19 | m | |
| 224 | Cáp CXV/DATA - (1 x 95) | 19 | m | |
| 225 | Cáp CXV/DATA - (1 x 120) | 19 | m | |
| 226 | Cáp CXV/DATA - (1 x 150) | 19 | m | |
| 227 | Cáp CXV/DATA - (1 x 185) | 37 | m | |
| 228 | Cáp CXV/DATA - (1 x 240) | 37 | m | |
| 229 | Cáp CXV/DATA - (1 x 300) | 61 | m | |
| 230 | Cáp CXV/DATA - (1 x 400) | 61 | m | |
Cáp ngầm 2 lõi hạ thế trần phú (Cu/XLPE/PVC/DATA/PVC) Ruột đồng, cách điện XLPE, giáp DATA, vỏ PVC.
CÁP NGẦM 2 LÕI - HẠ THẾ (Cu/XLPE/PVC/DSTA/PVC) |
||||
| Stt | Tên sản phẩm | Số sợi | Đvt | Đơn giá |
| 231 | Cáp CXV/DSTA - (2 x 1,5) | 7 | m | |
| 232 | Cáp CXV/DSTA - (2 x 2,5) | 7 | m | |
| 233 | Cáp CXV/DSTA - (2 x 4) | 7 | m | |
| 234 | Cáp CXV/DSTA - (2 x 6) | 7 | m | |
| 235 | Cáp CXV/DSTA - (2 x 10) | 7 | m | |
| 236 | Cáp CXV/DSTA - (2 x 16) | 7 | m | |
| 237 | Cáp CXV/DSTA - (2 x 25) | 7 | m | |
| 238 | Cáp CXV/DSTA - (2 x 35) | 7 | m | |
| 239 | Cáp CXV/DSTA - (2 x 50) | 7 | m | |
| 240 | Cáp CXV/DSTA - (2 x 70) | 19 | m | |
| 241 | Cáp CXV/DSTA - (2 x 95) | 19 | m | |
| 242 | Cáp CXV/DSTA - (2 x 120) | 19 | m | |
| 243 | Cáp CXV/DSTA - (2 x 150) | 19 | m | |
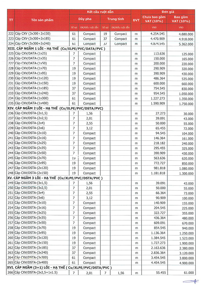
Cáp ngầm 3 lõi hạ thế trần phú (Cu/XLPE/PVC/DATA/PVC) Ruột đồng, cách điện XLPE, giáp DATA, vỏ PVC.
CÁP NGẦM 3 LÕI - HẠ THẾ (Cu/XLPE/PVC/DSTA/PVC ) |
||||
| Stt | Tên sản phẩm | Số sợi | Đvt | Đơn giá |
| 244 | Cáp CXV/DSTA - (3 x 1,5) | 7 | m | |
| 245 | Cáp CXV/DSTA - (3 x 2,5) | 7 | m | |
| 246 | Cáp CXV/DSTA - (3 x 4) | 7 | m | |
| 247 | Cáp CXV/DSTA - (3 x 6) | 7 | m | |
| 248 | Cáp CXV/DSTA - (3 x 10) | 7 | m | |
| 249 | Cáp CXV/DSTA - (3 x 16) | 7 | m | |
| 250 | Cáp CXV/DSTA - (3 x 25) | 7 | m | |
| 251 | Cáp CXV/DSTA - (3 x 35) | 7 | m | |
| 252 | Cáp CXV/DSTA - (3 x 50) | 7 | m | |
| 253 | Cáp CXV/DSTA - (3 x 70) | 19 | m | |
| 254 | Cáp CXV/DSTA - (3 x 95) | 19 | m | |
| 255 | Cáp CXV/DSTA - (3 x 120) | 19 | m | |
| 256 | Cáp CXV/DSTA - (3 x 150) | 19 | m | |
| 257 | Cáp CXV/DSTA - (3 x 185) | 37 | m | |
| 258 | Cáp CXV/DSTA - (3 x 240) | 37 | m | |
| 259 | Cáp CXV/DSTA - (3 x 300) | 61 | m | |
| 260 | Cáp CXV/DSTA - (3 x 400) | 61 | m | |
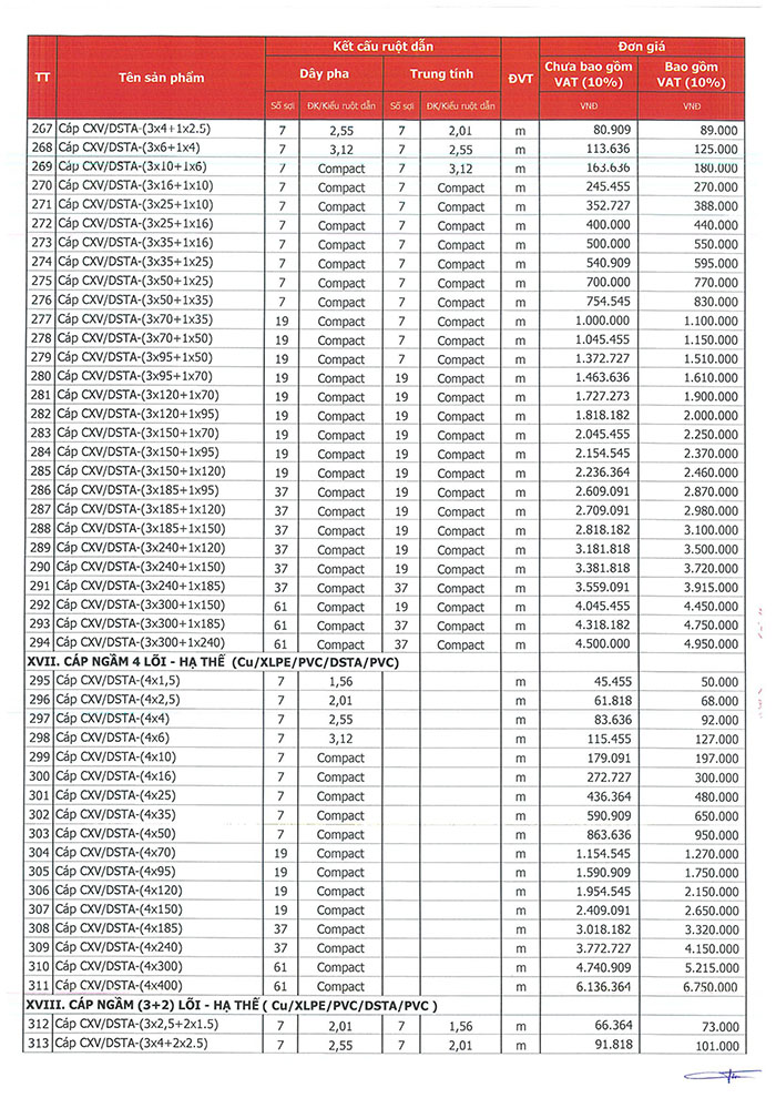
CÁP NGẦM (3 + 1) LÕI - HẠ THẾ ( Cu/XLPE/PVC/DSTA/PVC )
CÁP NGẦM (3 + 1) LÕI - HẠ THẾ ( Cu/XLPE/PVC/DSTA/PVC ) |
|||||
| Stt | Tên sản phẩm | Số sợi | Đvt | Đơn giá | |
| Dây pha | Trung tính | VNĐ/m | |||
| 261 | Cáp CXV/DSTA - (3 x 2,5 + 1 x 1.5) | 7 | 7 | m | |
| 262 | Cáp CXV/DSTA - (3 x 4 + 1 x 2.5) | 7 | 7 | m | |
| 263 | Cáp CXV/DSTA - (3 x 6 + 1 x 4) | 7 | 7 | m | |
| 264 | Cáp CXV/DSTA - (3 x 10 + 1 x 6) | 7 | 7 | m | |
| 265 | Cáp CXV/DSTA - (3 x 16 + 1 x 10) | 7 | 7 | m | |
| 266 | Cáp CXV/DSTA - (3 x 25 + 1 x 10) | 7 | 7 | m | |
| 267 | Cáp CXV/DSTA - (3 x 25 + 1 x 16) | 7 | 7 | m | |
| 268 | Cáp CXV/DSTA - (3 x 35 + 1 x 16) | 7 | 7 | m | |
| 269 | Cáp CXV/DSTA - (3 x 35 + 1 x 25) | 7 | 7 | m | |
| 270 | Cáp CXV/DSTA - (3 x 50 + 1 x 25) | 7 | 7 | m | |
| 271 | Cáp CXV/DSTA - (3 x 50 + 1 x 35) | 7 | 7 | m | |
| 272 | Cáp CXV/DSTA - (3 x 70 + 1 x 35) | 19 | 7 | m | |
| 273 | Cáp CXV/DSTA - (3 x 70 + 1 x 50) | 19 | 7 | m | |
| 274 | Cáp CXV/DSTA - (3 x 95 + 1 x 50) | 19 | 7 | m | |
| 275 | Cáp CXV/DSTA - (3 x 95 + 1 x 70) | 19 | 19 | m | |
| 276 | Cáp CXV/DSTA - (3 x 120 + 1 x 70) | 19 | 19 | m | |
| 277 | Cáp CXV/DSTA - (3 x 120 + 1 x 95) | 19 | 19 | m | |
| 278 | Cáp CXV/DSTA - (3 x 150 + 1 x 70) | 19 | 19 | m | |
| 279 | Cáp CXV/DSTA - (3 x 150 + 1 x 95) | 19 | 19 | m | |
| 280 | Cáp CXV/DSTA - (3 x 150 + 1 x 120) | 19 | 19 | m | |
| 281 | Cáp CXV/DSTA - (3 x 185 + 1 x 95) | 37 | 19 | m | |
| 282 | Cáp CXV/DSTA - (3 x 185 + 1 x 120) | 37 | 19 | m | |
| 283 | Cáp CXV/DSTA - (3 x 185 + 1 x 150) | 37 | 19 | m | |
| 284 | Cáp CXV/DSTA - (3 x 240 + 1 x 120) | 37 | 19 | m | |
| 285 | Cáp CXV/DSTA - (3 x 240 + 1 x 150) | 37 | 19 | m | |
| 286 | Cáp CXV/DSTA - (3 x 240 + 1 x 185) | 37 | 37 | m | |
| 287 | Cáp CXV/DSTA - (3 x 300 + 1 x 150) | 61 | 19 | m | |
| 288 | Cáp CXV/DSTA - (3 x 300 + 1 x 185) | 61 | 37 | m | |
| 289 | Cáp CXV/DSTA - (3 x 300 + 1 x 240) | 61 | 37 | m | |
CÁP NGẦM 4 LÕI - HẠ THẾ (Cu/XLPE/PVC/DSTA/PVC)
CÁP NGẦM 4 LÕI - HẠ THẾ (Cu/XLPE/PVC/DSTA/PVC) |
||||
| Stt | Tên sản phẩm | Số sợi | Đvt | Đơn giá |
| 290 | Cáp CXV/DSTA - (4 x 1,5) | 7 | m | |
| 291 | Cáp CXV/DSTA - (4 x 2,5) | 7 | m | |
| 292 | Cáp CXV/DSTA - (4 x 4) | 7 | m | |
| 293 | Cáp CXV/DSTA - (4 x 6) | 7 | m | |
| 294 | Cáp CXV/DSTA - (4 x 10) | 7 | m | |
| 295 | Cáp CXV/DSTA - (4 x 16) | 7 | m | |
| 296 | Cáp CXV/DSTA - (4 x 25) | 7 | m | |
| 297 | Cáp CXV/DSTA - (4 x 35) | 7 | m | |
| 298 | Cáp CXV/DSTA - (4 x 50) | 7 | m | |
| 299 | Cáp CXV/DSTA - (4 x 70) | 19 | m | |
| 300 | Cáp CXV/DSTA - (4 x 95) | 19 | m | |
| 301 | Cáp CXV/DSTA - (4 x 120) | 19 | m | |
| 302 | Cáp CXV/DSTA - (4 x 150) | 19 | m | |
| 303 | Cáp CXV/DSTA - (4 x 185) | 37 | m | |
| 304 | Cáp CXV/DSTA - (4 x 240) | 37 | m | |
| 305 | Cáp CXV/DSTA - (4 x 300) | 61 | m | |
| 306 | Cáp CXV/DSTA - (4 x 400) | 61 | m | |
CÁP NGẦM (3 + 2) LÕI - HẠ THẾ ( Cu/XLPE/PVC/DSTA/PVC )
CÁP NGẦM (3 + 2) LÕI - HẠ THẾ ( Cu/XLPE/PVC/DSTA/PVC ) |
|||||
| Stt | Tên sản phẩm | Số sợi | Đvt | Đơn giá | |
| Dây pha | Trung tính | VNĐ/m | |||
| 307 | Cáp CXV/DSTA - (3 x 2,5 + 2 x 1.5) | 7 | 7 | m | |
| 308 | Cáp CXV/DSTA - (3 x 4 + 2 x 2.5) | 7 | 7 | m | |
| 309 | Cáp CXV/DSTA - (3 x 6 + 2 x 4) | 7 | 7 | m | |
| 310 | Cáp CXV/DSTA - (3 x 10 + 2 x 6) | 7 | 7 | m | |
| 311 | Cáp CXV/DSTA - (3 x 16 + 2 x 10) | 7 | 7 | m | |
| 312 | Cáp CXV/DSTA - (3 x 25 + 2 x 10) | 7 | 7 | m | |
| 313 | Cáp CXV/DSTA - (3 x 25 + 2 x 16) | 7 | 7 | m | |
| 314 | Cáp CXV/DSTA - (3 x 35 + 2 x 16) | 7 | 7 | m | |
| 315 | Cáp CXV/DSTA - (3 x 35 + 2 x 25) | 7 | 7 | m | |
| 316 | Cáp CXV/DSTA - (3 x 50 + 2 x 25) | 7 | 7 | m | |
| 317 | Cáp CXV/DSTA - (3 x 50 + 2 x 35) | 7 | 7 | m | |
| 318 | Cáp CXV/DSTA - (3 x 70 + 2 x 35) | 19 | 7 | m | |
| 319 | Cáp CXV/DSTA - (3 x 70 + 2 x 50) | 19 | 7 | m | |
| 320 | Cáp CXV/DSTA - (3 x 95 + 2 x 50) | 19 | 7 | m | |
| 321 | Cáp CXV/DSTA - (3 x 95 + 2 x 70) | 19 | 19 | m | |
| 322 | Cáp CXV/DSTA - (3 x 120 + 2 x 70) | 19 | 19 | m | |
| 323 | Cáp CXV/DSTA - (3 x 120 + 2 x 95) | 19 | 19 | m | |
| 324 | Cáp CXV/DSTA - (3 x 150 + 2 x 70) | 19 | 19 | m | |
| 325 | Cáp CXV/DSTA - (3 x 150 + 2 x 95) | 19 | 19 | m | |
| 326 | Cáp CXV/DSTA - (3 x 150 + 2 x 120) | 19 | 19 | m | |
| 327 | Cáp CXV/DSTA - (3 x 185 + 2 x 95) | 37 | 19 | m | |
| 328 | Cáp CXV/DSTA - (3 x 185 + 2 x 120) | 37 | 19 | m | |
| 329 | Cáp CXV/DSTA - (3 x 185 + 2 x 150) | 37 | 19 | m | |
| 330 | Cáp CXV/DSTA - (3 x 240 + 2 x 120) | 37 | 19 | m | |
| 331 | Cáp CXV/DSTA - (3 x 240 + 2 x 150) | 37 | 19 | m | |
| 332 | Cáp CXV/DSTA - (3 x 240 + 2 x 185) | 37 | 37 | m | |
| 333 | Cáp CXV/DSTA - (3 x 300 + 2 x 150) | 61 | 19 | m | |
| 334 | Cáp CXV/DSTA - (3 x 300 + 2 x 185) | 61 | 37 | m | |
| 335 | Cáp CXV/DSTA - (3 x 300 + 2 x 240) | 61 | 37 | m | |
Catalogue dây cáp điện Trần Phú
Xem & Tải xuống Catalogue dây, cáp điện Trần Phú mới nhất 2025 tại Etinco nhà phân phối cấp 1 toàn quốc thương hiệu cơ điện Trần Phú.
Xem catalog dây điện dân dụng, catalog dây đồng, dây nhôm kỹ thuật điện, catalog cáp điện lực hạ thế, catalog cáp đồng, nhôm trần Trần phú, báo giá nhôm, đồng cách điện PVC, bảng giá cơ điện Trần Phú.
Mua dây điện trần phú chính hãng ở Hà Nội
chúng tôi cung cấp dây cáp điện chính hãng, chất lượng cám kết giá rẻ nhất tại Hà Nội, Hải Dương, Hưng Yên, Hải Phòng,
Lào Cai, Yên Bái, Điện Biên, Hòa Bình, Lai Châu, Sơn La, Hà Giang, Cao Bằng, Bắc Kạn, Lạng Sơn, Tuyên Quang, Thái Nguyên, Phú Thọ, Bắc Giang, Quảng Ninh, Bắc Ninh, Hà Nam,Hưng Yên, Nam Định, Ninh Bình, Thái Bình, Vĩnh Phúc. Đà Nắng, Huế, Quảng Trị, TP HCM…
Đại lý cấp 1 phân phối dây cáp điện Trần Phú Hà Nội
Hiên Etinco có hệ thống các của hàng, các đại lý đang phân phối dây trần Dây điện dân dụng và Cáp điện lực hạ thế, trung thế cáp đồng trục, cáp điều khiển, chống cháy, chậm cháy trên khắp cả nước.
với sứ mệnh sẽ trở là nhà cung cấp vật tư ngàng điện hàng đầu Việt Nam trong 5 năm sắp tới với mục tiêu đặt ra Etinco giao hàng nhanh gọn tới tận chân công trình và dự án trên toàn quốc.
Đại lý phân phối dây cáp điện Trần Phú tại miền bắc
Hà Nội, Hải Dương, Hưng Yên, Hải Phòng, Lào Cai, Yên Bái, Điện Biên, Hòa Bình, Lai Châu, Sơn La, Hà Giang, Cao Bằng, Bắc Kạn, Lạng Sơn, Tuyên Quang, Thái Nguyên, Phú Thọ, Bắc Giang, Quảng Ninh, Bắc Ninh, Hà Nam,Hưng Yên, Nam Định, Ninh Bình, Thái Bình, Vĩnh Phúc...
Đại lý phân phối dây cáp điện Trần Phú tại miền trung
Đà Nẵng, Nghệ An, Thanh Hóa, Hà Tĩnh, Quảng Bình, Huế, Quảng Trị, Quảng Ngãi, Bình Định, Phú Yên, Khánh Hoà, Ninh Thuận, Bình Thuận…
Đại lý phân phối dây cáp điện Trần Phú tại miền nam
TP Hồ Chí Minh, Đồng Nai, Bình Dương, Tây Ninh…
Tại sao nên lựa chọn dây điện trần phú trong xây dựng?
Dây điện Trần Phú là thương hiệu lâu đời được sản xuất bởi Công ty cổ phần cơ điện Trần Phú đã được kiểm nghiệm qua nhiều công trình, sản phẩm luôn được đánh giá cao trên thị trường.
Sản phẩm của công ty được sản xuất trên dây chuyền trang thiết bị hiện đại kết hợp sử dụng những nguyên vật liệu đầu vào được lựa chọn khắt khe từ các đối tác cung ứng có uy tín hàng đầu trong nước và trên thế giới với hàm lượng đồng tinh khiết: 99,999%, nhôm: 99,97% , nhựa PVC, XLPE. Công ty cam đoan không sử dụng chất không độc hại để chế tạo ra sản phẩm nên tạo được sự thân thiện với môi trường và đặc biệt là an toàn cho người sử dụng.
Dây Cáp điện Trần Phú được sản xuất với nhiều dòng sản phẩm đa dạng, phong phú như dây cáp ngầm, cáp treo đáp ứng được nhu cầu sử dụng của người tiêu dùng trong nước. Các sản phẩm dây cáp điện Trần Phú đều đảm bảo khắt khe về yếu tố kỹ thuật để đưa ra thị trường những dòng sản phẩm chất lượng, an toàn, hiệu quả và được khách hàng tin tưởng sử dụng.
Dây điện trần phú có máy loại?
Dây điện trần phú có 5 loại:
- Dây điện đơn - CU/PVC (Ruột đồng cách điện PVC), mầu dây (đỏ, xanh, vang, đen, tiếp địa).
- Dây điện dẹp - Cu/PVC/PVC (Ruột đồng, cách điện PVC, Vỏ PVC).
- Dây xúp - Cu/PVC (Ruột đồng, cách điện PVC).
- Dây điện trong (2,3,4) Ruột mền - Cu/PVC (Ruột đồng, Cách điện PVC, vỏ PVC).
- Dây điện dính cách Cu/PVC/PVC (Ruột đồng, cách điện PVC, Vỏ PVC).
Dây điện trần phú 0.75 giá bao nhiêu ?
Giá Dây điện trần phú 0.75 phụ thuộc vào số lượng quý khách hàng đặt hàng tại công ty, sẽ nhận được chiết khấu khác nhau theo số lượng, số lượng đặt hàng càng lớn chúng tôi sẽ có ưu đãi và chiết khấu tốt nhất cho khách hàng.
Bảng giá và chiết khấu ở Etinco cập nhật theo ngày Vui lòng liên hệ Zalo:0939.66.44.22 để nhận báo giá mới nhất Cam Kết Ở đâu rẻ chúng tôi rẻ hơn
Dây điện trần phú 1x1 giá bao nhiêu ?
Giá Dây điện trần phú 1x1 phụ thuộc vào số lượng quý khách hàng đặt hàng tại công ty, sẽ nhận được chiết khấu khác nhau theo số lượng, số lượng đặt hàng càng lớn chúng tôi sẽ có ưu đãi và chiết khấu tốt nhất cho khách hàng.
Bảng giá và chiết khấu ở Etinco cập nhật theo ngày Vui lòng liên hệ Zalo:0939.66.44.22 để nhận báo giá mới nhất Cam Kết Ở đâu rẻ chúng tôi rẻ hơn
Dây điện trần phú 1x4 giá bao nhiêu ?
Giá Dây điện trần phú 1x4 phụ thuộc vào số lượng quý khách hàng đặt hàng tại công ty, sẽ nhận được chiết khấu khác nhau theo số lượng, số lượng đặt hàng càng lớn chúng tôi sẽ có ưu đãi và chiết khấu tốt nhất cho khách hàng.
Bảng giá và chiết khấu ở Etinco cập nhật theo ngày Vui lòng liên hệ Zalo:0939.66.44.22 để nhận báo giá mới nhất Cam Kết Ở đâu rẻ chúng tôi rẻ hơn
Dây điện trần phú 2.5 giá bao nhiêu ?
Giá Dây điện trần phú 2.5 phụ thuộc vào số lượng quý khách hàng đặt hàng tại công ty, sẽ nhận được chiết khấu khác nhau theo số lượng, số lượng đặt hàng càng lớn chúng tôi sẽ có ưu đãi và chiết khấu tốt nhất cho khách hàng.
Bảng giá và chiết khấu ở Etinco cập nhật theo ngày Vui lòng liên hệ Zalo:0939.66.44.22 để nhận báo giá mới nhất Cam Kết Ở đâu rẻ chúng tôi rẻ hơn
Dây điện trần phú 2x0 75 giá bao nhiêu ?
Giá Dây điện trần phú 2x0 75 phụ thuộc vào số lượng quý khách hàng đặt hàng tại công ty, sẽ nhận được chiết khấu khác nhau theo số lượng, số lượng đặt hàng càng lớn chúng tôi sẽ có ưu đãi và chiết khấu tốt nhất cho khách hàng.
Bảng giá và chiết khấu ở Etinco cập nhật theo ngày Vui lòng liên hệ Zalo:0939.66.44.22 để nhận báo giá mới nhất Cam Kết Ở đâu rẻ chúng tôi rẻ hơn
Dây điện trần phú 2x1.5 giá bao nhiêu ?
Giá Dây điện trần phú 2x1.5 phụ thuộc vào số lượng quý khách hàng đặt hàng tại công ty, sẽ nhận được chiết khấu khác nhau theo số lượng, số lượng đặt hàng càng lớn chúng tôi sẽ có ưu đãi và chiết khấu tốt nhất cho khách hàng.
Bảng giá và chiết khấu ở Etinco cập nhật theo ngày Vui lòng liên hệ Zalo:0939.66.44.22 để nhận báo giá mới nhất Cam Kết Ở đâu rẻ chúng tôi rẻ hơn
Dây điện trần phú 2x10 giá bao nhiêu ?
Giá Dây điện trần phú 2x10 phụ thuộc vào số lượng quý khách hàng đặt hàng tại công ty, sẽ nhận được chiết khấu khác nhau theo số lượng, số lượng đặt hàng càng lớn chúng tôi sẽ có ưu đãi và chiết khấu tốt nhất cho khách hàng.
Bảng giá và chiết khấu ở Etinco cập nhật theo ngày Vui lòng liên hệ Zalo:0939.66.44.22 để nhận báo giá mới nhất Cam Kết Ở đâu rẻ chúng tôi rẻ hơn
Dây điện trần phú 2x2 5 giá bao nhiêu tiền 1 mét ?
Giá Dây điện trần phú 2x2 5 phụ thuộc vào số lượng quý khách hàng đặt hàng tại công ty, sẽ nhận được chiết khấu khác nhau theo số lượng, số lượng đặt hàng càng lớn chúng tôi sẽ có ưu đãi và chiết khấu tốt nhất cho khách hàng.
Bảng giá và chiết khấu ở Etinco cập nhật theo ngày Vui lòng liên hệ Zalo:0939.66.44.22 để nhận báo giá mới nhất Cam Kết Ở đâu rẻ chúng tôi rẻ hơn
Dây điện trần phú 2x2.5 giá bao nhiêu ?
Giá Dây điện trần phú 2x2.5 phụ thuộc vào số lượng quý khách hàng đặt hàng tại công ty, sẽ nhận được chiết khấu khác nhau theo số lượng, số lượng đặt hàng càng lớn chúng tôi sẽ có ưu đãi và chiết khấu tốt nhất cho khách hàng.
Bảng giá và chiết khấu ở Etinco cập nhật theo ngày Vui lòng liên hệ Zalo:0939.66.44.22 để nhận báo giá mới nhất Cam Kết Ở đâu rẻ chúng tôi rẻ hơn
Dây điện trần phú 2x4 giá bao nhiêu ?
Giá Dây điện trần phú 2x4 phụ thuộc vào số lượng quý khách hàng đặt hàng tại công ty, sẽ nhận được chiết khấu khác nhau theo số lượng, số lượng đặt hàng càng lớn chúng tôi sẽ có ưu đãi và chiết khấu tốt nhất cho khách hàng.
Bảng giá và chiết khấu ở Etinco cập nhật theo ngày Vui lòng liên hệ Zalo:0939.66.44.22 để nhận báo giá mới nhất Cam Kết Ở đâu rẻ chúng tôi rẻ hơn
Dây điện trần phú 2x6 giá bao nhiêu ?
Giá Dây điện trần phú 2x6 phụ thuộc vào số lượng quý khách hàng đặt hàng tại công ty, sẽ nhận được chiết khấu khác nhau theo số lượng, số lượng đặt hàng càng lớn chúng tôi sẽ có ưu đãi và chiết khấu tốt nhất cho khách hàng.
Bảng giá và chiết khấu ở Etinco cập nhật theo ngày Vui lòng liên hệ Zalo:0939.66.44.22 để nhận báo giá mới nhất Cam Kết Ở đâu rẻ chúng tôi rẻ hơn
1 cuộn dây điện trần phú dài bảo nhiều mét
1 cuộn dây trần phú có độ dài từ 100 đến 200m theo quy cách của nhà sản xuất.