Biến tần có khả năng làm thay đổi tần số các thiết bị điện, vừa giúp tăng năng suất, giảm chi phí bảo trì bảo dưỡng động cơ, vừa tiết kiệm điện năng. Nhờ đó, thiết bị này được ứng dụng rộng rãi trong công nghiệp và dân dụng. Cùng tìm hiểu về cấu tạo, nguyên lý và ứng dụng của biến tần trong bài viết dưới đây.
Biến tần là thiết bị gì?

Biến tần là thiết bị điện tử có khả năng biến đổi dòng điện 1 chiều hoặc xoay chiều thành dòng điện xoay chiều có tần số và điện áp điều chỉnh được. Thông qua việc thay đổi tần số dòng điện đặt lên cuộn dây bên trong động cơ, biến tần có thể điều khiển tốc độ động cơ một cách vô cấp, không cần dùng đến hộp số cơ khí. Xét về bản chất, biến tần là thiết bị hiệu chỉnh công suất.
Dựa theo cấp điện áp, biến tần có thể chia thành: 1 pha 220V, 3 pha 220V, 3 pha 380V,... Ngoài các dòng biến tần đa năng thì cũng có biến tần chuyên dụng dùng cho bơm, quạt, thang máy, cẩu trục, hệ thống HVAC, hệ thống năng lượng mặt trời…
Cấu tạo biến tần
Tùy thuộc vào ứng dụng và yêu cầu kỹ thuật của hệ thống điều khiển mà cấu tạo của mỗi loại biến tần sẽ có sự khác nhau. Tuy nhiên về cơ bản, một biến tần sẽ bao gồm các thành phần chính sau:
- Mạch nguồn: cung cấp điện năng cho toàn bộ biến tần
- Mạch điều khiển: là trung tâm điều khiển của biến tần, có chức năng điều khiển, lập trình và bảo vệ.
- Mạch chuyển đổi tần số: mạch chính của biến tần, có chức năng biến đổi tần số dòng điện đầu vào 50Hz thành tần số dòng điện đầu ra điều chỉnh được từ 0 đến 400Hz. Mạch này gồm bộ chỉnh lưu, bộ lọc và bộ nghịch lưu IGBT.
- Mạch bảo vệ: gồm các thiết bị bảo vệ quá tải, bảo vệ quá dòng, bảo vệ các sự cố điện gây ảnh hưởng đến hoạt động của hệ thống.
- Màn hình - bàn phím: dùng để thực hiện các thao tác giám sát, cài đặt và điều khiển từ người vận hành.

Ngoài ra, một số biến tần còn được tích hợp module truyền thông, bộ điện kháng xoay chiều, bộ điện kháng 1 chiều, điện trở hãm (điện trở xả),...
Nguyên lý làm việc của biến tần
Nguyên lý hoạt động của biến tần trải qua 2 giai đoạn:
Giai đoạn 1: Biến tần nhận nguồn đầu vào từ nguồn cung cấp điện (có thể là 1 pha hoặc 3 pha nhưng sẽ ở mức điện áp và tần số cố định, ví dụ 3 pha 220V tần số 50Hz). Nguồn điện sau đó được chỉnh lưu và lọc thành nguồn 1 chiều bằng phẳng. Công đoạn này do bộ chỉnh lưu cầu diode và tụ điện đảm nhận.
Giai đoạn 2: Điện áp 1 chiều sẽ được nghịch lưu thành điện áp xoay chiều 3 pha đối xứng. Công đoạn này được thực hiện bởi bộ biến đổi IGBT (tranzito lưỡng cực có cổng cách điện) bằng phương pháp điều chế độ rộng xung PWM.

Tần số của tín hiệu đầu ra sẽ phụ thuộc vào tín hiệu điều khiển và các tham số được lập trình sẵn trong biến tần. Do đó, người vận hành có thể cài đặt trước chế độ hoạt động hoặc điều khiển trực tiếp.
Bên cạnh đó, trong quá trình hoạt động, biến tần có thể phát hiện các sự cố quá tải, quá áp, sụt áp, mất pha và đưa ra cảnh báo lỗi nhẹ. Trong trường hợp phát hiện lỗi nghiêm trọng ảnh hưởng đến hệ thống, thiết bị này sẽ ngừng cấp điện cho động cơ.
Lợi ích khi sử dụng biến tần
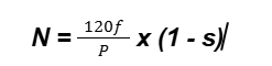
Ta có công thức tính tốc độ động cơ:

Từ công thức trên có thể thấy, tốc độ động cơ phụ thuộc vào 3 yếu tố, đồng thời cũng là 3 phương pháp thay đổi tốc độ động cơ:
- Thay đổi số cực động cơ (P)
- Thay đổi hệ số trượt (s)
- Thay đổi tần số (f) của điện áp đầu vào
Trong đó 2 phương pháp đầu khó thực hiện và không mang lại hiệu quả cao. Phương pháp thứ 3 được đánh giá là hiệu quả nhất và biến tần là thiết bị tối ưu để thay đổi tần số.

So với chi phí ban đầu phải chi trả, lợi ích mà biến tần đem lại cho hệ thống là rất lớn, đặc biệt là các hệ thống có cấu trúc phức tạp hay hệ thống công nghiệp đặc thù. Những giá trị mà biến tần đem lại cho các nhà máy, gồm:
- Điều khiển tốc độ động cơ bằng cách điều chỉnh tần số đầu vào, giúp tăng độ chính xác và tính linh hoạt của tốc độ máy móc và dây chuyền sản xuất.
- Đảo chiều quay động cơ khi máy chạy hết hành trình hoặc khi gặp sự cố.
- Bảo vệ động cơ khi gặp các sự cố quá tải, quá áp, sụt áp, mất pha,... tạo ra một hệ thống an toàn khi vận hành.
- Giảm thiểu dòng khởi động so với phương pháp khởi động trực tiếp, khởi động sao-tam giác, hạn chế tình trạng sụt áp hoặc khó khởi động.
- Hỗ trợ điều khiển và giám sát động cơ từ xa nhờ các module truyền thông được tích hợp trong biến tần.
- Hạn chế tình trạng khởi động đột ngột của các động cơ mang tải lớn, tránh hư hỏng phần cơ khí, ổ trục, tăng tuổi thọ động cơ, giảm chi phí bảo trì.
- Tiết kiệm năng lượng tới 40% so với phương pháp chạy động cơ trực tiếp.
- Giảm thiểu công suất phản kháng từ động cơ, từ đó giảm chi phí lắp đặt tụ bù, giảm thiểu hao hụt điện năng trên đường dây.
- Giảm độ ồn và độ rung của động cơ, cải thiện môi trường làm việc và sức khỏe của người lao động.
Ứng dụng của biến tần
Thiết bị điện tử
Các thiết bị điện tử dùng trong gia đình hiện nay như tủ lạnh, điều hòa nhiệt độ, máy giặt,... đều sử dụng bộ biến tần (hay inverter) để cải thiện hiệu suất năng lượng.
Ngoài ra, một số thiết bị công suất nhỏ (cỡ vài đến vài chục watt) như chấn lưu điện tử cho đèn huỳnh quang, đèn compact hay nguồn cung cấp năng lượng cho các ống huỳnh quang (CCFL) cũng được lắp đặt biến tần.
Thiết bị điện năng
Biến tần đang dần trở thành thiết bị không thể thiếu trong các nhà máy điện năng lượng tái tạo như điện mặt trời, điện gió, điện thủy triều,... với chức năng chuyển đổi các nguồn điện năng trên sang điện xoay chiều công nghiệp và hòa lưới.

Đặc trưng của các dòng điện nguyên khai là công suất và điện áp không ổn định. Để hòa lưới điện công nghiệp, cần sử dụng biến tần có hệ thống pin sạc làm đệm, chuyển đổi lên điện 3 pha tiêu chuẩn. Biến tần hòa lưới bắt buộc phải có hệ thống kiểm soát dạng xung, pha và điện áp để đáp ứng việc chuyển năng lượng lên lưới.
Các biến tần cho hệ thống điện mặt trời áp mái thường có công suất một vài kW, biến đổi lên điện áp AC 220V hoặc AC 110V, 1 pha hoặc 3 pha. Trong khi đó, Inverter cho điện mặt trời, điện gió thực hiện biến đổi nguồn điện nguyên khai thành điện 3 pha đồng bộ với lưới, công suất đến cơ một vài MW.
Các UPS
UPS hay hệ thống nguồn cung cấp liên tục, bộ lưu trữ điện dự phòng cho các hệ thống điện toán được coi là nhóm biến tần đặc biệt.
UPS biến đổi điện của các pin sạc lên điện xoay chiều AC cho các hệ thống và kích hoạt khi mất điện lưới. Dòng điện AC từ UPS có thể không có dạng sin, không ổn áp và có thời gian cấp điện hạn chế, tùy thuộc loại ắc quy sử dụng.
Trong công nghiệp

Hệ thống cấp nước nhà cao tầng
Trước đây, việc cấp nước cho các tòa nhà cao tầng thường là bơm nước lên mái và đẩy xuống từng tầng, việc điều áp cho các tầng sẽ do thiết bị điều hòa - giảm áp phụ trách. Tuy nhiên cách cấp nước này quá tốn kém chi phí và hiệu quả không cao. Trong khi đó, thay thế bằng biến tần sẽ giảm được chi phí lắp đặt tháp mái.
Quạt hút hoặc đẩy
Đối với các thiết bị quạt công nghiệp được ứng dụng để hút bụi, thổi lò hoặc thông gió, biến tần cho phép động cơ điều khiển áp lực, khởi động mềm, lưu lượng theo yêu cầu khi cần thiết, giúp tối ưu hóa hoạt động động cơ, tiết kiệm điện năng.
Hệ thống nén khí
Chế độ điều khiển cung cấp khí truyền thống đóng cắt van cửa vào để kiểm soát áp suất. Khi áp suất đạt đến giới hạn trên, van cửa vào đóng, máy nén đi vào trạng thái hoạt động không tải. Khi áp suất đạt giới hạn dưới, van cửa vào mở, máy nén hoạt động có tải. Trường hợp này biến tần có tác dụng điều chỉnh áp suất đầu ra ổn định, giảm thời gian động cơ chạy không tải và tiết kiệm điện năng.
Hệ thống nâng - hạ
Đối với cần trục và palăng, biến tần có thể điều khiển định vị, mô-men xoắn và hãm bằng cách sử dụng động cơ xoay chiều.
Bộ biến tần dành cho thiết bị nâng hạ có hệ thống hãm tái sinh, tra năng lượng về lưới, an toàn và tiết kiệm.
Những lưu ý khi cài đặt và vận hành biến tần
Tuy đem lại nhiều giá trị cho hệ thống nhưng linh kiện của biến tần thường rất nhạy cảm với môi trường bên ngoài nên trong quá trình sử dụng, người vận hành cần lưu ý:
- Căn cứ vào các bộ phận, giai đoạn, công đoạn sản xuất để xác định công suất động cơ, làm tiền đề lựa chọn biến tần phù hợp, tránh lãng phí chi phí đầu tư.
- Bảo quản, vận hành an toàn, đúng kỹ thuật để tránh linh kiện biến tần hỏng hóc
- Cần tính toán kết hợp biến tần với các phương thức khởi động động cơ khác sao cho quá trình vận hành trơn tru, tối ưu hiệu suất và chi phí.
Phần lớn các trường hợp, việc lắp đặt vận hành biến tần thường rất đơn giản, có thể cài đặt trực tiếp qua bảng điều khiển hoặc từ xa qua máy tính. Tuy nhiên, với hệ thống có sự chuyên môn hóa, tự động hóa cao, cần kỹ thuật viên có trình độ thực hiện thao tác này.

Trường hợp 1: Ứng dụng đơn giản
Sử dụng biến tần là thiết bị độc lập điều khiển động cơ cho các ứng dụng như bơm, quạt, máy cuốn, băng tải, cẩu trục,... có chương trình vận hành đơn giản.
Các ứng dụng này chỉ cần cài đặt một số chức năng cơ bản như bật/tắt bằng nút nhấn, điều khiển động cơ chạy thuận nghịch, thay đổi tốc độ bằng biến trở, thay đổi các cấp tốc độ, đặt thời gian tăng giảm tốc… nên hoàn toàn có thể tự thực hiện thông qua sự hướng dẫn của kỹ thuật viên.
Trường hợp 2: Ứng dụng chuyên dụng
Biến tần điều khiển động cơ cho máy chuyên dụng như máy sản xuất nhựa, máy giặt, máy công cụ,... với chương trình vận hành đặc thù và phản hồi vòng kín.
Việc cài đặt các loại biến tần này thường do nhà máy sản xuất thực hiện. Khi cần thay thế biến tần mới cần có kỹ thuật viên chuyên môn cấu hình lại bởi việc cài đặt thường không dễ thực hiện.
Trường hợp 3: Ứng dụng tự động hóa
Biến tần kết nối truyền thông trong hệ thống điều khiển giám sát từ xa thông qua PLC, máy tính công nghiệp trong các nhà máy lớn như xi măng, hóa dầu, ô tô,... thường yêu cầu người vận hành phải có trình độ cao và am hiểu hệ thống mới thực hiện được.
Etinco hiện là nhà phân phối biến tần LS hàng đầu Việt Nam. Chúng tôi không chỉ cung cấp sản phẩm chính hãng 100% mà còn đảm bảo mang đến cho khách hàng mức giá cạnh tranh cùng chính sách chiết khấu tốt nhất. Nếu bạn đang tìm kiếm báo giá cho công trình hoặc dự án, hãy liên hệ ngay với Etinco qua số 0904 99 88 77 hoặc email kd@etinco.vn.
Chính sách ưu đãi:
- Bảo hành từ 1-2 năm.
- Chính sách 1 đổi 1 trong thời gian bảo hành (chỉ duy nhất tại Etinco).
- Giao hàng nhanh chóng và miễn phí vận chuyển.
Cam kết chất lượng:
- Đầy đủ giấy tờ chứng nhận CO, CQ.
- Sản phẩm luôn có sẵn, đặt là có ngay.
- Cam kết hàng chính hãng với chất lượng tốt nhất.
- Mức giá cạnh tranh nhất trên thị trường.
- Dịch vụ bảo hành hàng đầu.
- Cam kết “HOÀN TIỀN 100%” nếu không đảm bảo chất lượng.
Lựa chọn biến tần LS từ Etinco, bạn sẽ cảm nhận được sự khác biệt mà không nhà phân phối nào ở Việt Nam có được.