Sóng hài thường xuất hiện ở những khu vực có chất lượng điện kém, là nguyên nhân khiến nhiều thiết bị điện nhạy cảm như tụ bù, biến tần nhanh hỏng hóc, tiêu hao nhiều năng lượng. Giải pháp cho trường hợp này chính là lắp đặt cuộn kháng có khả năng lọc sóng hài giúp bảo vệ các thiết bị điện. Cùng Etinco tìm hiểu về định nghĩa, chức năng và công dụng của cuộn kháng lọc sóng hài trong bài viết dưới đây.
Cuộn kháng lọc sóng hài là gì?
Trong mạng điện hạ thế hiện nay có nhiều phụ tải phát ra sóng hài (điện áp cao hơn tần số 50Hz) khi vận hành. Thành phần sóng hài này làm thay đổi các thông số điện áp khiến dòng điện không còn tính chất như ban đầu. Đặc biệt, nếu có cộng hưởng sóng hài bậc 5 - 250Hz và bậc 7 - 350Hz sẽ rất có hại cho phần tử điện. Trong trường hợp này, lắp đặt cuộn kháng lọc sóng hài là giải pháp để loại bỏ tình trạng trên, đưa các thiết bị điện hoạt động về mức tiêu chuẩn (với điện 3 pha là 380V - 50Hz).

Cuộn kháng lọc sóng hài là thiết bị điện tử dùng để hạn chế và loại bỏ các thành phần sóng hài có trong dòng điện hoặc điện áp. Bằng cách tạo ra một trở kháng cao đối với tần số sóng hài, cuộn kháng lọc sóng hài hạn chế dòng điện hoặc điện áp ở những tần số này đi qua, giúp bảo vệ thiết bị, nâng cao chất lượng điện năng và tuổi thọ hệ thống.
Chức năng của cuộn kháng
Chức năng chính là cuộn kháng lọc sóng hài là bảo vệ biến tần, tụ bù và các thiết bị điện trước tác động của sóng hài.
- Bảo vệ biến tần: Cuộn kháng đầu ra biến tần (DC) và cuộn kháng đầu vào biến tần (AC) là 2 loại cuộn kháng sử dụng cho biến tần. Cuộn kháng giúp giảm dòng điện đi qua biến tần, từ đó giúp biến tần hoạt động trơn tru cả khi bị thay đổi tốc độ hay tần số.
- Bảo vệ tụ bù và các thiết bị điện: Tụ bù là thiết bị nhạy cảm, rất dễ bị hư hỏng bởi sóng hài. Cuộn kháng điện được sử dụng kết hợp với tụ bù để lọc sóng hài bậc cao, bảo vệ tụ bù khỏi hiện tượng cộng hưởng sóng hài (gây quá áp, phồng tụ, cháy nổ) và các thiết bị đóng cắt mạch điện.
Etinco hiện là đơn vị chuyên phân phối dòng sản phẩm cuộn kháng đến từ những thương hiệu uy tín khắp thế giới như: Nuintek, BTB Electric, Mikro, Epcos,... Chúng tôi cam kết mang đến cho khách hàng sản phẩm chính hãng 100%, nói KHÔNG với hàng cũ, hàng nhái, đi kèm là giá cả ưu đãi nhất thị trường và chính sách chiết khấu tốt nhất cho các dòng sản phẩm.
Tham khảo một số dòng sản phẩm cuộn kháng chính hãng được phân phối bởi Etinco:
Cấu tạo cuộn kháng lọc sóng hài
Cuộn kháng lọc sóng hài có cấu tạo gồm 1 cuộn dây đồng quấn quanh lõi sắt từ, trong đó số vòng dây, tiết diện dây dẫn và kích thước lõi sắt từ tỉ lệ với điện cảm trong cuộn kháng.
Lõi sắt có chức năng tăng cường từ trường của dòng điện cuộn dây, thường là dạng lõi rắn hoặc lõi lá.

Ngoài ra, cuộn kháng lọc sóng hài còn có thêm hệ thống tản nhiệt, cầu chì và vỏ bọc bên ngoài. Giữa lớp vỏ và cuộn dây có thể là lớp dầu ngâm hoặc lớp sơn cách điện để bảo vệ cuộn kháng.
Có 4 thông số chính của cuộn kháng cần lưu ý, gồm:
- Điện áp hệ thống (Vrms): đơn vị Vs
- Dòng điện hệ thống (Arms): đơn vị Is
- Hệ số công suất: cos
- Thành phần sóng hài trong hệ thống điện: THD(v) hoặc THD(i)
Đọc thêm: Cuộn kháng cho biến tần là gì? Cấu tạo, vai trò và cách lựa chọn
Nguyên lý hoạt động của cuộn kháng
Ở mạch điện xoay chiều, cảm kháng tỉ lệ thuận với tần số của dòng điện. Tần số càng lớn thì cảm kháng sẽ tăng dần, dẫn đến dòng điện qua cuộn dây càng nhỏ. Cuộn kháng lúc này có tác dụng triệt tiêu sóng hài bậc cao, giúp ổn định hệ thống điện.
Nguyên lý hoạt động của cuộn kháng dựa trên nguyên lý dung kháng tỉ lệ nghịch với tần số của dòng điện, cảm kháng tỉ lệ thuận với tần số dòng điện. Khi dòng điện chứa các thành phần sóng hài bậc 5,7, cuộn kháng sẽ được mắc nối tiếp với tụ để lọc sóng hài gây hại.
Khi nào cần lắp cuộn kháng cho tụ bù?
Khi hệ thống có sóng hài
Việc sử dụng các thiết bị điện có công suất như biến tần, UPS, đèn LED, thang máy, máy tính… tại các nhà máy, tòa nhà văn phòng hay khu công nghiệp là nguồn phát sinh sóng hài - một dạng nhiều điện làm méo dạng sóng sin lý tưởng của điện áp.

Tụ bù rất nhạy cảm với sóng hài. Khi không có bộ lọc, sóng hài có thể ảnh hưởng xấu đến tụ bù, gây ra các hiện tượng như: quá nhiệt, giảm tuổi thọ, phồng, rò rỉ, thậm chí là cháy, nổ tụ. Nhiều nhà sản xuất tụ khuyến cáo khi méo hài điện áp tổng THDu ≥ 3%, bắt buộc phải sử dụng cuộn kháng lọc sóng hài cho tụ bù để đảm bảo an toàn và độ bền thiết bị.
Khi có nguy cơ cộng hưởng sóng hài trong hệ thống
Tụ điện kết hợp với cuộn cảm sẽ tạo thành mạch cộng hưởng LC. Nếu tần số cộng hưởng này trùng với 1 bậc của sóng hài trong hệ thống sẽ gây ra hiện tượng cộng hưởng điện áp hoặc dòng điện, làm dòng điện tăng đột biến tại bậc sóng hài, gây hỏng tụ, nổ cầu dao hoặc nóng dây dẫn, nguy hiểm hơn có thể ảnh hưởng đến toàn bộ hệ thống điện.
Cuộn kháng cho tụ bù được lắp đặt trong trường hợp này có tác dụng dịch tần số cộng hưởng ra khỏi vùng có sóng hài nguy hiểm, bảo vệ hệ thống khỏi cộng hưởng nội.
Khi sử dụng tụ công suất lớn hoặc nhiều tụ song song
Trong hệ thống cần bù công suất lớn, tụ thường được lắp với công suất từ 25kVAr trở lên hoặc nhiều tụ nhỏ được ghép song song. Việc đóng cùng lúc nhiều tụ sẽ tạo ra dòng khởi động rất lớn trong thời gian ngắn (gấp 20–30 lần dòng định mức).
Dòng khởi động lớn này là nguyên nhân gây ra các hiện tượng: sụt áp cục bộ, tụ hư hỏng nhanh, ảnh hưởng tới các thiết bị khác. Vì vậy, cuộn kháng đóng vai trò như một “lá chắn”, giúp giới hạn dòng khởi động, giúp tụ đóng vào mạch an toàn hơn.
Khi cần tăng tuổi thọ và ổn định hệ thống điện
Ngay cả trong hệ thống không có sóng hài đáng kể, việc sử dụng tụ có kháng lọc cũng có tác dụng::
- Giảm tổn hao công suất
- Giảm dòng khởi động tức thời
- Giữ nhiệt độ hoạt động ổn định
- Kéo dài tuổi thọ tụ
- Tăng độ tin cậy của toàn bộ hệ thống
Đây là giải pháp đầu tư ban đầu cao hơn nhưng mang lại hiệu quả vận hành dài hạn vượt trội. Đặc biệt, khi chất lượng điện ngày càng kém do các thiết bị điện tử công suất, cuộn kháng lọc sóng hài cho tụ bù là xu hướng bắt buộc cho mọi hệ thống chuyên nghiệp và an toàn.
Phân loại cuộn kháng lọc sóng hài
Theo điện áp
- Cuộn kháng hạ thế: Sử dụng cho hệ thống điện 440V – 1000V, ứng dụng cho điện nhà máy, công xưởng, xí nghiệp,…
- Cuộn kháng trung thế: Sử dụng cho hệ thống điện từ 1000V, ứng dụng trong các trạm điện.
Theo công suất
| Loại | Công suất | Dòng định mức | Ứng dụng |
| Công suất nhỏ | <10kVA | 1A-50A | Điện tử, UPS nhỏ, biến tần nhỏ |
| Công suất trung bình | 10 - 100kVA | 50A - 300A | Biến tần công nghiệp, tụ bù |
| Công suất lớn | 00kVA – 1MVA | 300A – 1000A | Nhà máy, điện mặt trời, trạm biến tần |
| Công suất cực đại | >1MVA | 1000A – 5000A | Lưới cao áp, công nghiệp nặng |
Theo tỉ lệ điện kháng
| Loại | Tỉ lệ kháng | Sóng hài lọc hiệu quả | Ứng dụng |
| Tỉ lệ thấp | 1-3% | Hài bậc >17 | Biến tần nhỏ, UPS |
| Tỉ lệ trung | 3% - 7% | Hài bậc 5, 7, 11 | Biến tần công nghiệp, tụ bù |
| Tỉ lệ cao | 7% - 15% | Hài bậc 3, 5, 7 | Nhà máy, lò hồ quang |
| Đặc biệt | >15% | Hài bậc thấp + ngắn mạch | Lưới cao áp, công nghiệp nặng |
Đọc thêm: Cuộn kháng 6% là gì? Phân biệt với cuộn kháng 7%, 14%
Theo cấu tạo
- Cuộn kháng không dầu: cuộn dây trong cuộn kháng quấn lấy lõi sắt và được phủ lớp sơn cách điện
- Cuộn kháng ngâm dầu: cuộn dây trong cuộn kháng quấn lấy lõi sắt và được ngâm dầu cách điện
Theo ứng dụng
- Cuộn kháng bảo vệ biến tần: gồm cuộn kháng đầu vào (AC) và cuộn kháng đầu ra (DC), chuyên để bảo vệ biến tần.
- Cuộn kháng tụ bù: hạn chế tác hại của sóng hài bậc cao lên tụ bù.
- Ngoài ra, còn có cuộn kháng bảo vệ relay, contactor và một số thiết bị điện khác.

Cách tính chọn cuộn kháng chặn sóng hài
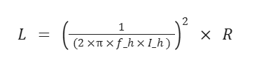
Sau khi nắm rõ 4 thông số chính của cuộn kháng, có thể sử dụng công thức sau để tính toán giá trị cuộn kháng (L) cho bậc sóng hài thứ h:

Trong đó:
- f_h là tần số của bậc sóng hài thứ h (Hz)
- I_h là dòng điện sóng hài thứ h (A)
- R là điện trở tải (Ω)
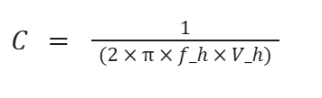
Cùng với việc tính giá trị cuộn kháng, bạn cần phải tính cả dung lượng tụ bù để có thể chọn được cuộn kháng có thể triệt tiêu sóng hài nhiều nhất theo công thức sau:

Trong đó:
- V_h là điện áp sóng hài thứ h (V)
Thông qua 2 bước trên, bạn sẽ lựa chọn được biến tần và tụ bù có giá trị phù hợp dựa vào các giá trị đã được tính trước đó.
Một lưu ý quan trọng là trước khi chọn cuộn kháng điện, bạn cần đo đạc sóng hài xuất hiện trong khu vực để xác định bậc hài cuộn kháng cần lắp đặt là 6%, 7%, 13%, 14% hay cao hơn. Ngoài ra, cuộn kháng được lựa chọn cũng cần tương thích với điện áp hệ thống là hạ thế hoặc trung thế. Cuộn kháng đa phần được lắp cùng tụ bù điện, do vậy dung kháng của tụ cũng cần tương thích với cuộn kháng, là 5kVAr, 10kVAr, 20kVAr, 30kVAr hay cao hơn.

Đặc biệt, chọn cuộn kháng đến từ những thương hiệu lớn không chỉ giúp bạn yên tâm hơn trong quá trình sử dụng mà còn được bảo vệ về quyền lợi khách hàng với giá cả ưu đãi, chính sách hậu mãi hấp dẫn.