Tiết diện dây điện đóng vai trò quan trọng trong việc đánh giá khả năng truyền tải và chịu tải của dây. Lựa chọn tiết diện phù hợp đảm bảo thiết bị điện vận hành đúng cách, tiết kiệm chi phí cho hệ thống điện, đồng thời giảm thiểu được các sự cố điện. Tìm hiểu cách tính toán và lựa chọn tiết diện dây điện chi tiết trong bài viết dưới đây.
Tiết diện dây điện là gì?
Trong kỹ thuật điện, tiết diện dây điện được định nghĩa là diện tích mặt cắt ngang của lõi dẫn điện (nhôm hoặc đồng) vuông góc với dây dẫn. Đơn vị của tiết diện dây dẫn là milimet vuông (mm2).

Việc tính toán chính xác tiết diện dây dẫn quyết định đến khả năng chịu tải và truyền tải dòng điện của dây. Chọn dây dẫn phù hợp với tải không chỉ đảm bảo đường truyền ổn định, hạn chế tình trạng quá tải, sụt áp mà còn duy trì được tuổi thọ lâu dài của thiết bị. Ngược lại, tình trạng nóng dây dẫn thường xảy ra khi chọn tiết diện dây quá nhỏ so với tải dòng điện hoặc công suất thiết bị.
Một số yếu tố ảnh hưởng đến việc lựa chọn tiết diện dây điện:
- Dòng điện định mức: Khi dòng điện chạy qua dây dẫn, hiện tượng sinh nhiệt sẽ làm nóng dây. Nếu nhiệt độ này vượt quá nhiệt độ cho phép của dây điện sẽ tiềm ẩn nguy cơ mất an toàn điện. Các nhà sản xuất dây cáp điện khuyến cáo, dòng điện định mức của thiết bị sử dụng điện chỉ nên bằng 70% khả năng chịu tải của dây cáp điện.
- Độ sụt áp: Xảy ra do điện trở của dây dẫn, khiến một phần năng lượng điện bị tiêu hao dưới dạng nhiệt. Giá trị điện trở tỉ lệ nghịch với tiết diện dây điện. Tức là tiết diện dây dẫn càng lớn, điện trở càng nhỏ, kéo theo độ sụt áp càng thấp. Khi tính toán dây dẫn cho thiết bị công suất lớn hoặc cho đường dây truyền tải dài, hãy đảm bảo độ sụt áp trong giới hạn ±5% điện áp định mức.
- Vật liệu cấu tạo lõi dẫn: Đồng và nhôm là 2 vật liệu phổ biến cấu thành lõi dẫn điện. Nhôm nhẹ và rẻ hơn đồng nhưng đồng lại có khả năng dẫn điện và chịu tải cao hơn.
Ngoài ra, việc lựa chọn tiết diện dây dẫn còn phụ thuộc vào môi trường lắp đặt, khoảng cách lắp đặt,...
Chọn tiết diện dây điện theo công thức
Để tính toán tiết diện dây điện, đầu tiên cần xác định được công suất tiêu thụ của các thiết bị điện. Công thức này như sau:

Trong đó:
- P: Công suất tiêu thụ (W)
- A: Điện năng tiêu thụ (J)
- t: Thời gian sử dụng điện
- U: Hiệu điện thế (V)
- I: Cường độ dòng điện (A)
Quy đổi: 1kW = 1.000W, 1mW = 1.000.000W
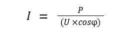
Sau đó tính cường độ dòng điện của điện 1 pha theo công thức:

Trong đó:
- P: Công suất tiêu thụ (W)
- U: Điện áp (V)
- Cosφ: Hệ số công suất, thường là 0,8.
Với hệ thống điện 3 pha, ta áp dụng công thức tính dòng điện sau:

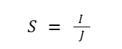
Cuối cùng, sau khi đã có giá trị cường độ dòng điện, tiết diện dây dẫn được tính toán như dưới đây:

Trong đó:
- J: Mật độ dòng điện cho phép (A/mm2), đối với dây đồng thường là 6A/mm2, dây nhôm là 4,5A/mm2
- I: Dòng điện (A).
Để đảm bảo an toàn điện và thuận tiện cho việc nâng cấp phụ tải, nên chọn dây điện cho tiết diện lớn hơn 1 cấp so với giá trị tính toán.
Ví dụ về cách lựa chọn tiết diện dây điện theo công thức
Để hiểu rõ hơn về cách tính tiết diện dây dẫn, bạn có thể theo dõi các ví dụ dưới đây.
Ví dụ 1: Tính tiết diện dây điện cho bình nóng lạnh 2500W, điện áp 220V.
Áp dụng công thức ta tính được:

Chọn dây điện có tiết diện 2.5mm2 cho bình nóng lạnh 2500W là phù hợp.
Ví dụ 2: Chọn dây điện cho máy bơm nước 3 pha 5kW, điện áp 380V.
Quy đổi: 5kW = 5000W
Áp dụng công thức, ta có:

Chọn dây điện có tiết diện 2.5mm2 cho máy bơm nước 3 pha 5kW.
Chọn tiết diện dây điện theo bảng tra dòng điện và công suất

Bảng chọn dây dẫn theo dòng điện
Theo tiêu chuẩn IEC 60439 (giới hạn dòng điện <400A):

Đối với dây cáp điện chôn ngầm trực tiếp:
Thông số chính:
- Nhiệt trở suất của đất: 1.20Cm/W
- Nhiệt độ trung bình của đất: 150 độ C
- Độ sâu chôn dây ngầm: 0.5m
- Nhiệt độ hoạt động tối đa của lõi dẫn: 700 độ C.
| Tiết diện dây điện | 1 lõi | 2 lõi | 3 và 4 lõi | |||||
| 2 cáp đặt cách khoảng | 3 cáp tiếp xúc nhau theo hình 3 lá | |||||||
| Dòng điện định mức | Độ sụt áp | Dòng điện định mức | Độ sụt áp | Dòng điện định mức | Độ sụt áp | Dòng điện định mức | Độ sụt áp | |
| mm2 | A | mV | A | mV | A | mV | A | mV |
| 1.5 | 33 | 32 | 29 | 25 | 32 | 29 | 27 | 25 |
| 2.5 | 44 | 20 | 38 | 15 | 41 | 17 | 35 | 15 |
| 4 | 59 | 11 | 53 | 9.5 | 55 | 11 | 47 | 9.5 |
| 6 | 75 | 9 | 66 | 6.4 | 69 | 7.4 | 59 | 6.4 |
| 10 | 101 | 4.8 | 86 | 3.8 | 92 | 4.4 | 78 | 3.8 |
| 16 | 128 | 3.2 | 110 | 2.4 | 119 | 2.8 | 101 | 2.4 |
| 25 | 168 | 1.9 | 142 | 1.5 | 158 | 1.7 | 132 | 1.5 |
| 35 | 201 | 1.4 | 170 | 1.1 | 190 | 1.3 | 159 | 1.1 |
| 50 | 238 | 0.97 | 203 | 0.82 | 225 | 0.94 | 188 | 0.82 |
| 70 | 292 | 0.67 | 248 | 0.58 | 277 | 0.66 | 233 | 0.57 |
| 95 | 349 | 0.50 | 297 | 0.44 | 332 | 0.49 | 279 | 0.42 |
| 120 | 396 | 0.42 | 337 | 0.36 | 377 | 0.40 | 317 | 0.35 |
| 150 | 443 | 0.36 | 376 | 0.31 | 422 | 0.34 | 355 | 0.29 |
| 185 | 497 | 0.31 | 423 | 0.27 | 478 | 0.29 | 401 | 0.25 |
| 240 | 571 | 0.26 | 485 | 0.23 | 561 | 0.24 | 462 | 0.21 |
| 300 | 640 | 0.23 | 542 | 0.20 | 616 | 0.21 | 517 | 0.18 |
| 400 | 708 | 0.22 | 600 | 0.19 | 693 | 0.19 | 580 | 0.17 |
| 500 | 780 | 0.20 | 660 | 0.18 | - | - | - | - |
| 630 | 856 | 0.19 | 721 | 0.16 | - | - | - | - |
| 800 | 895 | 0.18 | 756 | 0.16 | - | - | - | - |
| 1000 | 939 | 0.18 | 797 | 0.15 | - | - | - | |
Đối với dây cáp ngầm lắp đặt trong ống đơn tuyến:
Thông số chính:
- Nhiệt trở suất của đất: 1.20Cm/W
- Nhiệt độ đất: 150 độ C
- Độ sâu chôn cáp: 0,5m
- Nhiệt độ làm việc tối đa của lõi dẫn: 700 độ C
| 2 cáp: ống tiếp xúc nhau | 3 cáp: ống xếp theo hình ba lá tiếp xúc nhau | |||||||
| Tiết diện | Dòng điện định mức | Độ sụt áp | Dòng điện định mức | Tiết diện ruột dẫn | 1 lõi | 2 lõi | 3 và 4 lõi | Độ sụt áp |
| mm2 | A | mV | A | mV | A | mV | A | mV |
| 1.5 | 30 | 34 | 28 | 27 | 26 | 29 | 22 | 25 |
| 2.5 | 41 | 22 | 35 | 16 | 34 | 17 | 29 | 15 |
| 4 | 59 | 12 | 48 | 10.5 | 45 | 11 | 38 | 9.5 |
| 6 | 69 | 10 | 60 | 7.0 | 57 | 7.4 | 48 | 6.4 |
| 10 | 90 | 5.0 | 84 | 4.0 | 76 | 4.4 | 64 | 3.8 |
| 16 | 114 | 3.4 | 107 | 2.6 | 98 | 2.8 | 83 | 2.4 |
| 25 | 150 | 2.0 | 139 | 1.6 | 129 | 1.7 | 107 | 1.5 |
| 35 | 175 | 1.4 | 168 | 1.2 | 154 | 1.3 | 129 | 1.1 |
| 50 | 216 | 1.0 | 199 | 0.88 | 183 | 0.94 | 153 | 0.82 |
| 70 | 262 | 0.76 | 241 | 0.66 | 225 | 0.66 | 190 | 0.57 |
| 95 | 308 | 0.61 | 282 | 0.53 | 271 | 0.49 | 228 | 0.42 |
| 120 | 341 | 0.54 | 311 | 0.47 | 309 | 0,40 | 260 | 0.35 |
| 150 | 375 | 0.48 | 342 | 0.42 | 346 | 0.34 | 292 | 0.29 |
| 185 | 414 | 0.44 | 375 | 0.38 | 393 | 0.29 | 331 | 0.25 |
| 240 | 463 | 0.40 | 419 | 0.34 | 455 | 0.24 | 382 | 0.21 |
| 300 | 509 | 0.37 | 459 | 0.32 | 510 | 0.21 | 428 | 0.18 |
| 400 | 545 | 0.34 | 489 | 0.30 | 574 | 0.19 | 490 | 0.17 |
| 500 | 585 | 0.32 | 523 | 0.28 | – | – | – | – |
| 630 | 632 | 0.30 | 563 | 0.26 | – | – | – | – |
| 800 | 662 | 0.28 | 587 | 0.25 | – | – | – | – |
| 1000 | 703 | 0.27 | 621 | 0.23 | – | – | – | – |
Bảng chọn dây dẫn theo công suất
Bảng chọn chung:
| Tiết diện dây điện (mm2) | Công suất (kW) | Công suất (kW) |
| Tại 220V | Tại 380V | |
| 0.75 | 0.35 | 1.05 |
| 1 | 0.47 | 1.40 |
| 1.25 | 0.58 | 1.75 |
| 1.5 | 0.70 | 2.10 |
| 2 | 0.94 | 2.81 |
| 2.5 | 1.17 | 3.51 |
| 3.5 | 1.64 | 4.91 |
| 4 | 1.87 | 5.61 |
| 5.5 | 2.57 | 7.71 |
| 6 | 2.81 | 8.42 |
| 8 | 3.74 | 11.22 |
| 10 | 4.68 | 14.03 |
| 11 | 5.14 | 15.43 |
| 14 | 6.55 | 19.64 |
| 16 | 7.48 | 22.44 |
| 22 | 10.29 | 30.86 |
| 25 | 11.69 | 35.06 |
| 30 | 14.03 | 42.08 |
| 35 | 16.36 | 49.09 |
| 38 | 17.77 | 53.30 |
| 50 | 23.38 | 70.13 |
| 60 | 28.05 | 84.15 |
| 70 | 32.73 | 98.18 |
| 80 | 37.40 | 112.20 |
| 95 | 44.41 | 133.24 |
| 100 | 46.75 | 140.25 |
| 120 | 56.10 | 168.30 |
| 125 | 58.44 | 175.31 |
| 150 | 70.13 | 210.38 |
| 150 | 70.13 | 210.38 |
| 185 | 86.49 | 259.46 |
| 200 | 93.50 | 280.50 |
| 240 | 112.20 | 336.60 |
| 250 | 116.88 | 350.63 |
| 300 | 140.25 | 420.75 |
| 400 | 187.00 | 561.00 |
Đối với dây đơn cứng VA (cấp điện áp 600V):
| Tiết diện dây điện | Công suất chịu tải | Tiết diện dây điện | Công suất chịu tải |
| 1.0 mm2 | ≤ 1.0 kW | 5 mm2 | ≤ 5.5 kW |
| 1.5 mm2 | ≤ 1.5 kW | 6 mm2 | ≤ 6.2 kW |
| 2.0 mm2 | ≤ 2.1 kW | 7 mm2 | ≤ 7.3 kW |
| 2.5 mm2 | ≤ 2.6 kW | 8 mm2 | ≤ 8.5 kW |
| 3 mm2 | ≤ 3.4 kW | 10 mm2 | ≤ 11.4 kW |
| 4 mm2 | ≤ 4.2 kW | 12 mm2 | ≤ 13.2 kW |
Đối với dây cáp điện lực VC, CV, CVV (cấp điện áp 600V):
| Tiết diện dây điện | Công suất chịu tải | Tiết diện dây điện | Công suất chịu tải |
| 0.5 mm2 | ≤ 0.8 kW | 3 mm2 | ≤ 5.6 kW |
| 0.75 mm2 | ≤ 1.3 kW | 4 mm2 | ≤ 7.3 kW |
| 1.0 mm2 | ≤ 1.8 kW | 5 mm2 | ≤ 8.7 kW |
| 1.25 mm2 | ≤ 2.1 kW | 6 mm2 | ≤ 10.3 kW |
| 1.5 mm2 | ≤ 2.6 kW | 7 mm2 | ≤ 11.4 kW |
| 2.0 mm2 | ≤ 3.6 kW | 8 mm2 | ≤ 12.5 kW |
| 2.5 mm2 | ≤ 4.4 kW | 10 mm2 | ≤ 14.3 kW |
Đối với dây đôi mềm VCm các loại (cấp điện áp 250V):
| Tiết diện dây điện | Công suất chịu tải | Tiết diện dây điện | Công suất chịu tải |
| 0.5 mm2 | ≤ 0.8 kW | 2.5 mm2 | ≤ 4.0 kW |
| 0.75 mm2 | ≤ 1.2 kW | 3.5 mm2 | ≤ 5.7 kW |
| 1.0 mm2 | ≤ 1.7 kW | 4 mm2 | ≤ 6.2 kW |
| 1.25 mm2 | ≤ 2.1 kW | 5.5 mm2 | ≤ 8.8 kW |
| 1.5 mm2 | ≤ 2.4 kW | 6 mm2 | ≤ 9.6 kW |
| 2.0 mm2 | ≤ 3.3 kW | – |
Đối với dây cáp điện kế ĐK - CVV, ĐK - XLPE (cấp điện áp 0.6/1kV):
| Tiết diện dây điện | Công suất chịu tải | Tiết diện dây điện | Công suất chịu tải | Tiết diện dây điện | Công suất chịu tải |
| Cách điện PVC | Cách điện XLPE | Cách điện PVC | Cách điện XLPE | Cách điện PVC | Cách điện XLPE |
| 3 mm2 | ≤ 6.4 kW | ≤ 8.2 kW | 10 mm2 | ≤ 13.4 kW | ≤ 17.0 kW |
| 4 mm2 | ≤ 7.6 kW | ≤ 9.8 kW | 11 mm2 | ≤ 14.2 kW | ≤ 18.1 kW |
| 5 mm2 | ≤ 8.8 kW | ≤ 11.2 kW | 14 mm2 | ≤ 16.6 kW | ≤ 20.7 kW |
| 5,5 mm2 | ≤ 9.4 kW | ≤ 11.9 kW | 16 mm2 | ≤ 17.8 kW | ≤ 22.0 kW |
| 6 mm2 | ≤ 9.8 kW | ≤ 12.4 kW | 22 mm2 | ≤ 22.0 kW | ≤ 27.2 kW |
| 7 mm2 | ≤ 10.8 kW | ≤ 13.8 kW | 25 mm2 | ≤ 23.6 kW | ≤ 29.2 kW |
| 8 mm2 | ≤ 11.8 kW | ≤ 15.0 kW | 35 mm2 | ≤ 29.0 kW | ≤ 36.0 kW |
Đối với dây điện ngoài trời Duplex:
| Tiết diện dây điện | Công suất chịu tải | Chiều dài đường dây | Tiết diện dây điện | Công suất chịu tải | Chiều dài đường dây |
| 3mm | ≤ 5.5 kW | ≤ 30 m | 10 mm2 | 12.1 kW | ≤ 45 m |
| 4mm | ≤ 6.8 kW | ≤ 30 m | 11 mm2 | 12.9 kW | ≤ 45 m |
| 5mm | ≤ 7.8 kW | ≤ 35 m | 14 mm2 | 15.0 kW | ≤ 50 m |
| 5.5mm | ≤ 8.3 kW | ≤ 35 m | 16 mm2 | 16.2 kW | ≤ 50 m |
| 6mm | ≤ 8.7 kW | ≤ 35 m | 22 mm2 | 20.0 kW | ≤ 60 m |
| 7mm | ≤ 9.5 kW | ≤ 40 m | 25 mm2 | 21.2 kW | ≤ 60 m |
| 8mm | ≤ 10.6 kW | ≤ 40 m | 35 mm2 | 26.2 kW | ≤ 70 m |
Chọn tiết diện dây điện theo kinh nghiệm
Kinh nghiệm chọn dây dẫn điện thường được áp dụng cho các kỹ sư điện hoặc các kỹ thuật viên chuyên nghiệp. Đối với phương pháp này, bạn không cần áp dụng công thức hay tra cứu qua bảng tra chuẩn, tiết diện dây điện cho một số thiết bị phổ biến, nhất là trong mạng điện gia đình sẽ được lựa chọn dựa trên kinh nghiệm thi công lâu năm, ví dụ như:
- Dây cấp điện từ cột điện vào công tơ điện: Dây này thường có tiết diện 6mm2 cho những ngôi nhà ống nhỏ 1-2 tầng và 10mm2 cho những tòa nhà lớn hơn kiểu biệt thự.
- Dây điện cho công tắc, ổ cắm, bóng đèn, hoặc thiết bị nhỏ (dưới 1kW): Nên dùng loại súp mềm, tiết diện 2 x 1.5mm2.
- Dây điện cho thiết bị công suất từ 1-2kW: Ưu tiên chọn dây cáp điện PVC, tiết diện 2 x 2.5mm2.
- Dây điện cho thiết bị công suất lớn (>2kW): Như điều hòa 12000 BTU (1.5HP) hoặc 18000 BTU (2HP) có thể dùng loại dây có tiết diện 4.0mm2. Tuy nhiên, để đảm bảo an toàn cho từng thiết bị có công suất lớn nên tính toán tiết diện dây điện cụ thể theo công thức phía trên.
Một số câu hỏi về tiết diện dây điện
Câu hỏi 1: Chọn tiết diện dây điện quá nhỏ so với tải có ảnh hưởng gì không?
Trả lời: Chọn tiết diện dây điện quá nhỏ so với công suất hoặc dòng điện của thiết bị tiềm ẩn rất nhiều nguy cơ mất an toàn điện như:
- Nóng dây, gây chập cháy thiết bị và hệ thống
- Sụt áp trên đường dây khiến thiết bị hoạt động chập chờn
- Giảm tuổi thọ của thiết bị
- Lãng phí điện năng, gia tăng tiền điện
Câu hỏi 2: Bảng chọn tiết diện dây điện có áp dụng được với dây điện của tất cả thương hiệu không?
Trả lời: Về lý thuyết là có. Nhưng thực tế, bảng chọn tiết diện dây dẫn của các thương hiệu sẽ có sự khác nhau về giới hạn dòng điện và công suất. Tuy vậy, bạn vẫn có thể dựa vào bảng tra chuẩn để chọn tiết diện dây dẫn do sự chênh lệch giữa các thương hiệu là không đáng kể.